Sydney weather Forcasting
-Multivariate Time Series Analysis
Chang Shen
CONTENTS
-
Introduction
-
Exploratory Data Analysis
-
VAR Model
- LSTM Model
-
Forecasting Result
-
Discussion
Introduction
Weather forecasting
Relates closely to Production activities, social activities and
daily activities.
temperature
humidity
rainfall
wind
speed
meteorology
understanding
Introduction
Multivariate Time Series Problem

A Multivariate Time Series is n time series within the same time frame

Exploratory Data Analysis
Australia weather Data
- Choose recordings from Sydney weather station
- 9 variables 1578 observations from 2013-03-01 to 2017-06-25
- Daily Max Temperature, Min Temperature, Wind speed at 9 am and 3 pm, Humidity at 9 am and 3 pm, pressure at 9 am and 3 pm
Exploratory Data Analysis


Exploratory Data Analysis

After missing data imputataion
Exploratory Data Analysis
Stationary
Seasonality


ADF test
VAR(Vector Auto regression)
A generalization of AR model, VAR(p)
where the \(y_{t-p}\) denotes \(i th\) lag of \(y\), \(y_{t}\) is the vector \(\{y_{1,t},\cdots,y_{k,t}\},\epsilon\) is a zero-mean error term has a variance \(\sigma^2\) and \(cov(\epsilon_i,\epsilon_j)=0, \forall i \neq j\),\(A_i\) is a time-invariant \(k\times k\)-matrix
VAR(Vector Auto regression)
A generalization of AR model

VAR(Vector Auto regression)
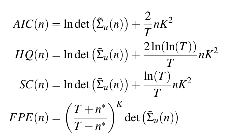
Determine the order p

- AIC and FPE tend to choose the model VAR(2)
- HQ and SC tend to choose model VAR(1)

VAR(Vector Auto regression)
Fitting VAR model
- Split training set
- Differenceing non stationary variable(Min Temperature)
- Dummy Seasonal


VAR(Vector Auto regression)
Diagnose

Portmanteau-test
ARCH Lagrange-Multiplier test
Normality test
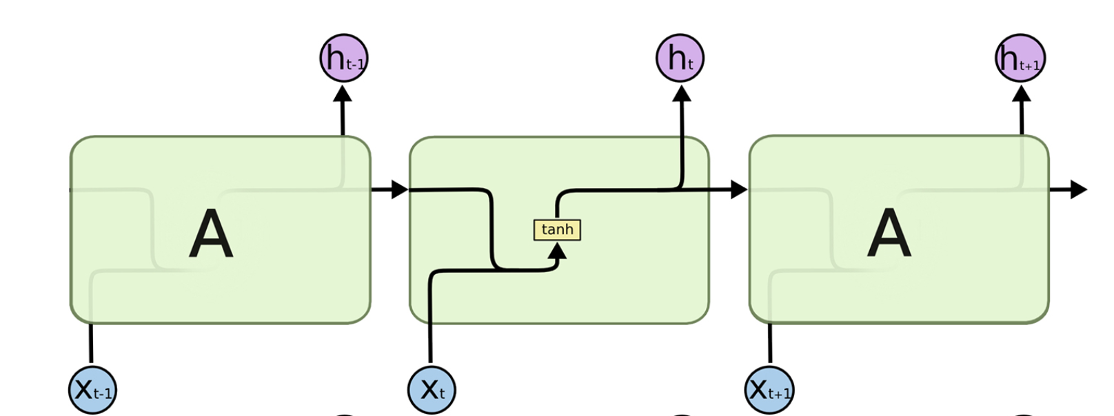
LSTM(Long Short Term Memory)
Long Short Term Memory (LSTM) networks are special kind of Recurrent Neural Network (RNN) that are capable of learning long-term dependencies

LSTM(Long Short Term Memory)
Long Short Term Memory (LSTM) networks are special kind of Recurrent Neural Network (RNN) that are capable of learning long-term dependencies

LSTM(Long Short Term Memory)
1. Split training set and testing set
2. Normalize the data
3. Define model
- Batch size
- Time step
- Features
4.complie and fitting the model
Forecasting Result

Forecasting Result


Reflection
VAR
-
VAR is a powerful algorithm but it has limitation since it only applicable to numeric variables.
-
Have to choose order
-
Require the stationary presumption (may need transformation)
-
easy to understand and train
LSTM
- A black box model can’t be written as VAR
- Parameter tuning/ take long training time and more CPU memory
- More suitable for large scale data
- Can be applied to multiple scenarios like forecasting, classification, anomalously detection
- long training time