Deep Code Search

By Xiaodong Gu, et al. 

Presented by David A.N

Code Search

and the Reusability

Developers usually search and reuse previously written code by performing free-text queries...

Code Search Approaches

Approach Technique Novelty
Sourcerer (Linstead et al., 2009) IR Combines the textual content of a program with structural information.
Portfolio (McMillan et al., 2011) PageRank Returns chain of functions through keyword matching. 
CodeHow (Lv et al., 2015) IR Combines text similarity matching and API matching. 

Code Search Approaches

Approach Technique Novelty
Sourcerer (Linstead et al., 2009) IR Combines the textual content of a program with structural information.
Portfolio (McMillan et al., 2011) PageRank Returns chain of functions through keyword matching. 
CodeHow (Lv et al., 2015) IR Combines text similarity matching and API matching. 

Not Machine Learning

Deep Learning for Source Code

Approach Novelty
White et al., 2016 Predicting software tokens by using RNN language model. 
DEEPAPI (Gu, et al., 2016) Deep learning method that learns the semantic of queries and the corresponding API sequences. 

The gap

and the dilemma of matching meaning from Source Code and Natural Language

IR-Based Code Search Fundamental Problem

  • Source code and Natural Language queries are heterogeneous

  • They may not share common lexical tokens, synonyms, or language structure

  • They can be only semantically related

Semantic Mapping

Query: "read an object from an XML"

Can anybody see the problem?

Intuition 

  • Embeddings techniques
  • RNN for sequence embeddings
  • Joint Embedding of Heterogeneous Data

Embedding Techniques 

  • CBOW
  • Skip-Gram

 

A sentence can also be embedded as a vector. 

execute = [0.12, -0.32]
run = [0.42, -0.52]

RNN for Sequence Embeddings

s=w_1,...,w_T
w_t=V(w_t)
V(w_t) \in \mathbb{R}^d

RNN for Sequence Embeddings

s=w_1,...,w_T
w_t=V(w_t)
V(w_t) \in \mathbb{R}^d

RNN for Sequence Embeddings

h_t = tanh(W[h_{t-1};w_t]), \forall_t = 1,2,...,T

RNN for Sequence Embeddings

h_t = tanh(W[h_{t-1};w_t]), \forall_t = 1,2,...,T

RNN for Sequence Embeddings

h_t = tanh(W[h_{t-1};w_t]), \forall_t = 1,2,...,T

2 ways for embedding:

  • using last NN
  • using maxpooling
s=maxpooling([h_1,...,h_T])

RNN for Sequence Embeddings

Joint Embeddings

f:x \to y
x \rightarrow^\phi V_x \rightarrow J(V_x,Vy) \leftarrow V_y \leftarrow^\psi y

Joint Embeddings

f:x \to y
x \rightarrow^\phi V_x \rightarrow J(V_x,Vy) \leftarrow V_y \leftarrow^\psi y

Joint Embeddings

f:x \to y
x \rightarrow^\phi V_x \rightarrow J(V_x,Vy) \leftarrow V_y \leftarrow^\psi y

Joint Embeddings

f:x \to y
x \rightarrow^\phi V_x \rightarrow J(V_x,Vy) \leftarrow V_y \leftarrow^\psi y

Solution/Approach

COde Description Embedding Neural Network (CODEnn)

Code and Queries in the same space

Code and Queries in the same space

CoNN

Code and Queries in the same space

CoNN

DeNN

Huge Multi-Layer Perceptron

Huge Multi-Layer Perceptron

Huge Multi-Layer Perceptron

Huge Multi-Layer Perceptron

Huge Multi-Layer Perceptron

Huge Multi-Layer Perceptron

Huge Multi-Layer Perceptron

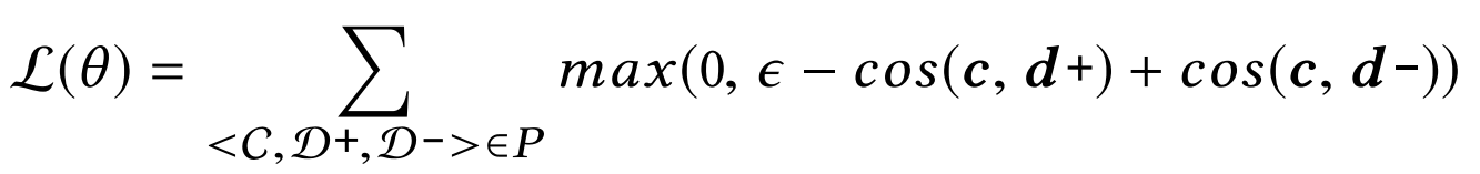
Model Training

The hinge loss

Model Training

Parameters of NN

Model Training

Training Tuple

Model Training

Constant Margin

Model Training

Embedded Vectors

DEEPCS

as a code search tool

Workflow

Workflow

Workflow

Workflow

The magic extraction

Preprocessing as camel-case and AST parsing.

 

Source: GitHub and JavaDoc

The magic extraction

Preprocessing as camel-case and AST parsing.

 

Source: GitHub and JavaDoc

Evaluation​

  • 18,233,872 commented Java Methods
  • Bi-directional LSTM
  • d = 100
  • Batch = 128
  • Keras & Theano

Performance Measures

  • SuccessRate@K: measures the percentage of queries for which more than one correct result could exist in the top k ranked results.
  • FRank: is the rank of the first hit result in the result list; the smaller, the lowest inspection effort.
  • Precision@K: measures the percentage of a relevant result in the returned top k.
  • MRR: is the average of the reciprocal ranks of the results of a set of queries. 

Baseline vs DeepCS in terms of accuracy

Baseline vs DeepCS in terms of accuracy

Discussion 

Why does DeepCS work?

Does DeepCS work?

:|

Discussion

  1. What are the advantages of using a Recurrent Neural Network instead of a typical multilayer perceptron?
  2. How can the Joint Embedding be improved?
  3. Are there any ways of transferring information among datasets different from common error training?
Made with Slides.com