Validation of Synthetic Galaxy Catalogs
Joe Hollowed
Young Scientists Symposium Series
Argonne National Laboratory
November 14 2017

LSST
Large Synoptic Survey Telescope
SDSS Legacy
Sloan Digital Sky Survey
– 5 years (2000-2005)
– ~2.3×10⁸ objects
– ~8,400 deg² coverage
– 22.2 r-band magnitude limit
– 60.5 TB data volume
– 10 years (2022-2032)
– ~37.0×10⁹ objects
– ~20,000 deg² coverage
– 27.6 r-band magnitude limit
– 30 PB data volume
Next Generation Sky Surveys
11/14/17 YSSS 2017 1
LSST
Large Synoptic Survey Telescope
SDSS Legacy
Sloan Digital Sky Survey
– 5 years (2000-2005)
– ~2.3×10⁸ objects
– ~8,400 deg² coverage
– 22.2 r-band magnitude limit
– 60.5 TB data volume
– 10 years (2022-2032)
– ~37.0×10⁹ objects
– ~20,000 deg² coverage
– 27.6 r-band magnitude limit
– 30 PB data volume
Next Generation Sky Surveys
How should the community prepare for upcoming petascale data releases in the early 2020's?
11/14/17 YSSS 2017 1

QContinuum Simulation (1/16384 full sim)
Argonne National Laboratory
N-body simulations
Creating Synthetic Skies: ProtoDC2
11/14/17 YSSS 2017 2

QContinuum Simulation (1/16384 full sim)
Argonne National Laboratory
N-body simulations
Galaxy placement & tracking
Core Tracking
Creating Synthetic Skies: ProtoDC2

11/14/17 YSSS 2017 2

QContinuum Simulation (1/16384 full sim)
Argonne National Laboratory
Creating Synthetic Skies: ProtoDC2
N-body simulations
Galaxy placement & tracking

Galaxy placement & tracking
Galacticus, ray tracing, GalSim
Core Tracking

11/14/17 YSSS 2017 2


Analysis

Overview
Analysis

Validation
or
Modification

11/14/17 YSSS 2017 3


Analysis

Overview
Analysis

Validation
or
Modification

11/14/17 YSSS 2017 3


Analysis
Overview
Analysis

Validation
or
Modification

Next gen. analysis & processing pipeline testing

11/14/17 YSSS 2017 3
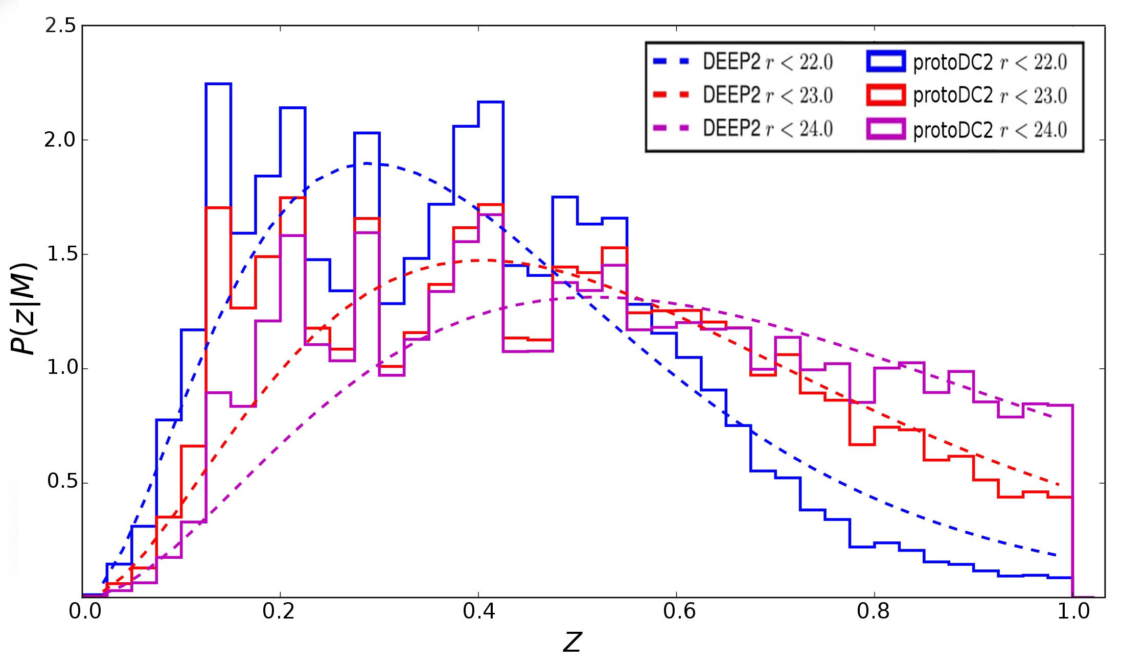
Example Validation Test

11/14/17 YSSS 2017 4
Galaxy Cluster Validation

- Details of galaxy clustering are very sensitive to cosmology
11/14/17 YSSS 2017 5
Galaxy Cluster Validation


- Details of galaxy clustering are very sensitive to cosmology
11/14/17 YSSS 2017 5
Redshift-space Distortions

Galaxy Cluster Validation:
11/14/17 YSSS 2017 6

Redshift-space Distortions
Galaxy Cluster Validation:
11/14/17 YSSS 2017 6

Velocity Dispersion-Mass Relation
Galaxy Cluster Validation:
11/14/17 YSSS 2017 7


SPT-GMOS spectroscopic sample
Bayliss+ 2016, Figure 3
Velocity Segregation
Galaxy Cluster Validation:
11/14/17 YSSS 2017 8
Synthetic Catalog Release
- Successful first-stage validation of ProtoDC2 announced to the LSST-DESC collaboration, catalog released and working groups can begin testing codes
-
Toward the future:
- further refinement of protoDC2
- large-scale synthetic skies (DC2)
- LSST first light!
11/14/17 YSSS 2017 9
Thank You!
11/14/17 YSSS 2017 10
11/14/17 YSSS 2017 11