Graph Neural Network - K-Hop, MHAGNN, PPGNs
Problem with Standard GNN
Subhankar Mishra, Sachin Kumar
BL2403, School of Computer Sciences, NISER

week-4 | GitHub | Resource Doc
Text

Text

Limitations 1
Text
Text
Assume all nodes with same degree have the same feature vector
- In regular graphs, all nodes have the same feature vector
-
Regular graph: All nodes have the same degree


Standard GNNs produce the same representation for the nodes of all regular graphs of a specific size and degree
Graphs
Text
Text
Non-Isomorphic Graphs?

Graphs
Text
Text
Non-Isomorphic Graphs?

Graphs
Text
Text
Non-Isomorphic Graphs No

Graphs
Text
Text
Non-Isomorphic Graphs
Standard GNNs produce the same representation for the nodes of all regular graphs of a specific size and degree

Graphs
Text
Text
Isomorphic Graphs

Limitations 2
Text
Text

with Non-Isomorphic Graphs
Limitations 2
Text
Text

with Non-Isomorphic Graphs
Limitations 2
Text
Text

with Non-Isomorphic Graphs
Limitations 3
Text
Text

Oversmoothing & Oversquashing
Text
Text

Oversmoothing & Oversquashing
Text
Text

Oversmoothing & Oversquashing
Text
Text

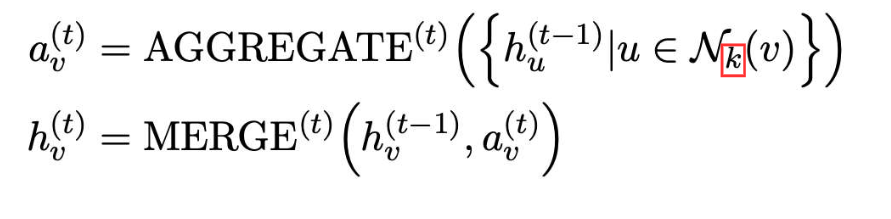
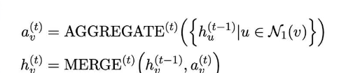
K-Hop GNN
Text
Text
Standard GNN
K-Hop GNN


Ask friends of friends and their friends
K-Hop GNN
Text
Text

K-Hop GNN
Text
Text
Standard GNN
K-Hop GNN


Does that solve the problem?
What do you think?
Does it create new problems🤔
K-Hop GNN
Text
Text
Yes
You can't assign equal importance to all the message coming from K-Hop.
You need to assign weight to each Hop so you can have important information only
-
Multi-hop message passing: Extract embeddings from 1-hop, 2-hop, … k-hop neighbors.
-
Attention fusion: An attention module assigns weights to each hop’s embedding.
-
Final embedding: A weighted sum of multi-hop embeddings forms the node representation.
Provably Powerful Graphs Networks(PPGNs)
Text
Text
Classical GNNs cannot capture higher-order structures (like cliques, cycles, regularity) that go beyond local neighborhoods.
-
They are designed to be at least as powerful as the k-dimensional Weisfeiler–Lehman test (k-WL) with k≥3k \geq 3k≥3.
-
This means they can distinguish graphs that 1-WL (and hence standard GNNs) fail to separate.
-
In practice, they can capture higher-order interactions like:
-
Detecting whether a graph is regular
-
Recognizing graph symmetries
-
Counting small substructures (motifs, cliques, cycles)
-
Provably Powerful Graphs Networks(PPGNs)
Text
Text
Classical GNNs cannot capture higher-order structures (like cliques, cycles, regularity) that go beyond local neighborhoods.


Provably Powerful Graphs Networks(PPGNs)
Text
Text
Classical GNNs cannot capture higher-order structures (like cliques, cycles, regularity) that go beyond local neighborhoods.

K-Hop GNN vs Multi-Hop Attention GNN vs PPGN
Text
Text

k-hop GNN (left): gathers all nodes within k-hops (green) of the target node (orange).
Multi-Hop Attention GNN (middle): still considers multi-hop neighbors, but pays different levels of attention (big green node = more important, small green = less important).
Provably Powerful GNN (right): doesn’t just aggregate neighbors — it also considers higher-order relationships (red arrows show interactions between pairs of nodes).
Thank you for attending the talk!
Text
Text