An exploration of dark energy and beyond the standard model with analytical and numerical tools for the large scale structures of the universe
Santiago Casas
Postdoctoral Researcher
TTK, RWTH Aachen University


@santiagocasas @sant87casas


Dark Energy & Modified Gravity




The Horndeski Lagrangian
PhD thesis: Non-linear structure formation in models of Dark Energy and Modified Gravity, http://archiv.ub.uni-heidelberg.de/volltextserver/23120/

Beyond Einstein's GR
Scalar-Tensor theories
Effect on LSS
N-Body simulations

CONCEPT: Python and Neutrinos
GADGET2/CoDECS

Credit: Yun Ling, My bachelor student,
Jeppe Dakin (U. Zurich)
Credit: Dr. Marco Baldi, Master thesis co-supervisor

Approximate methods: COLA

ABACUS: Fits for GCspectro with 1loopEFT
Other codes tested:
gevolution
flowpm

GNQ: Growing Neutrino Quintessence (developed in Heidelberg)
Credit: Winther, SC, Koyama, et al (2019)
Credit: SC, Führer, Ayaita, Weber, Wetterich
Credit: Rademacher, Moradinezhad, Lesgourges, SC
My Journey with Euclid
Credits: www.esa.int/Science_Exploration/Space_Science/Euclid, www.euclid-ec.org, ESA/NASA/SpaceX, Euclid Consortium



Euclid consortium scientist visits Cannes. Credits: ThalesAlenia Space


Euclid preparation: VII. Forecast validation for Euclid cosmological probes,,Blanchard et al. arXiv:1910.09273

★ Awardees of the Euclid STAR Prize Team 2019


EC Builder Status achieved 2023

Early Release Observations. ECICOM, ECEPO: Social media manager of instagram: @euclidconsortium


Euclid Launch: 1st July 2023
Large forecasting projects
The Fingertip Galaxy

WEAK Lensing and Galaxy Clusteering



SC, Lesgourgues, Schöneberg, et al., Euclid: Validation of the MontePython forecasting tools, 2303.09451

SC, Kunz, Martinelli, Pettorino, Phys.Dark Univ. 18 1703.01271
3x2pt Photometric Cosmic Shear + Clustering
Spectroscopic Galaxy Clustering: BAO+RSD+DM+LSS+Galaxy bias
Excellent complimentarity

https://www.esa.int/Science_Exploration/Space_Science/Euclid/Euclid_test_images_tease_of_riches_to_come
FISHER Matrix FORECASTS

Code: CosmicFish
S.Casas, M.Martinelli and M.Raveri
Soon to be released: Full pythonic version
https://github.com/santiagocasas/cosmicfishpie

Cosmomathica/Fishermathica
Python, Numpy-intensive
Couples to CAMB, CLASS, HiCLASS, MGCAMB, input4cast files
GC, WL, 21cm-IM, 3x2pt, CMB
Euclid, DESI, Rubin LSST, SKAO
Wolfram Language,
Cosmomathica-FORTRAN link for CAMB
GC, WL
Euclid, SKA1
Used to produce and validate IST:F forecasts 2015-2019


Hessian of a Gaussian Likelihood. Used to approximate posterior distributions at the maximum (fiducial value)

First code to be validated against MontePython MCMC forecasts


SC, Lesgourgues, Schöneberg, et al., Euclid: Validation of the MontePython forecasting tools, 2303.09451
Euclid preparation: VII. Forecast validation for Euclid cosmological probes,,Blanchard et al. arXiv:1910.09273

SC, Kunz, Martinelli, Pettorino, Phys.Dark Univ. 18 1703.01271
https://github.com/santiagocasas/cosmomathica
Euclid theory working group
SC, I. Tutusaus : Work Package lead of WP6, Forecasting and statistics
SC: Member of WP1,2,3,4,6,7,11 : From theory and non-linearities to likelihood
SC: Co-coordinator of the KeyPaper-Theory-1 project


SC, Cardone, Sapone, et al, Euclid: Constraints on f(R) cosmologies from the spectroscopic and photometric primary probes, 2306.11053

Frusciante, Pace, Cardone, SC et al, Euclid: Constraining linearly scale-independent modifications of gravity with the spectroscopic and photometric primary probes, 2306.12368
Main tasks:
Constrain gravitational potentials
Test for screening mechanisms
Check theories of modified gravity

Requires expertise with modified Einstein-Boltzmann solvers,
Emulators, Halo-model,
Fisher and likelihoods
Euclid: Likelihood and Nonlinear TASKFORCES
- GCspectro: EFT 1-loop RSD in multipoles
- 3x2pt photo:
- Covariance, nonlinear Super-Sample
- Galaxy Bias expansion
- Emulators for nonlinear, HMCode, Halofit, Bacco, EuclidEmu
- Baryonic Feedback: different parameters
- Different emulators with systematic offsets
- Euclid error bars can distinguish among them
EUCLID PRELIMINARY


Credit: P. Carrilho for IST:NL
Credit: SC, for IST:NL

Cosmological Likelihood for Observables in Euclid

Credit: SC, for IST:L

Credit: SC, for IST:NL
SC: Main developer and core member of CLOE. KeyPaper co-lead of 3x2pt in IST:NL
Preparation of DR1 analysis
- Biasing when failing to analyse data with correct model of baryonic feedback
Other Surveys and CROss-correlations

Vera Rubin Observatory, LSST Project Office - http://www.lsst.org/gallery/telescope-rendering-2013

DESI telescope in Tucson, Arizona, in the Schuk Toak District on the Tohono O’odham Nation


Square Kilometer Array Observatory https://www.skao.int/



SC, Carucci, Pettorino et al (2022), Constraining gravity with synergies between radio and optical cosmological surveys, 2210.05705

CMB Stage-IV experiments: https://kipac.stanford.edu/research/projects/cmb-stage-4
Invited talk at the Manchester Optical x Radio Synergy meeting
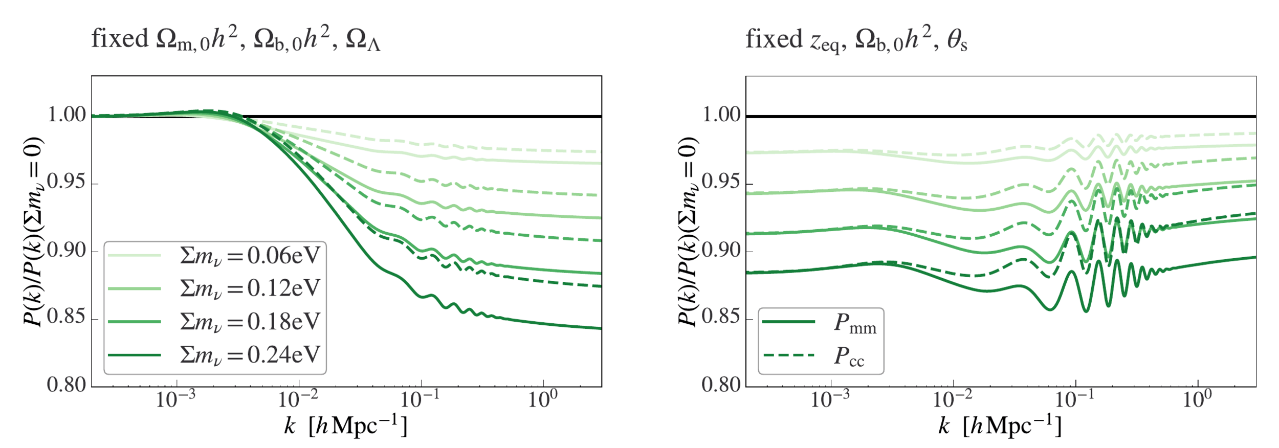
Neutrinos and LSS with Euclid & more
Euclid Preparation: Sensitivity to Neutrino parameters. (Under internal review). Archidiacono, Lesgourgues, SC, Pamuk, et al.
EUCLID PRELIMINARY






- \(M_{\nu}\) and \(N_{\rm eff}\)
- Combination of different probes breaks degeneracies
- For our given \(\ell_{\rm max}\) the effect of baryonic feedback is small <10%
- Euclid (all) 1\(\sigma\) error: 30-60 meV
Text
future avenues of work
Merci!!

In collaboration with Johanna Schaffmeister and Sven Günther, students at RWTH
- More work on uncertainty-aware emulators. https://github.com/santiagocasas/looti
- Both for non-linear power spectra, as well as for baryonic feedback, MG-effects and neutrinos.
- Work on 1loop-EFT for LSS in the case of GC-spectro (currently in prep. with Linde, Lesgourgues and Moradinezhad. Inclusion of consistent treatment for Neutrinos and Modified Gravity. (in collab with Linde, Pietroni, Fidler).
- JAX-COSMO: Campagne, Lanusse, Zuntz, SC, et al, 2302.05163.
- Implement auto-differentiability into commonly used codes in the field: CLASS, CAMB, HMCode, Looti, and Euclid codes: CLOE.
- Use auto-diff emulators: CosmoPower (Spurio-Mancini, et al)
- SC: Invited participant at 3-month MIAPP Differentiable physics workshop
- This allows for fast, efficient variational parameter estimation, orders of magnitude faster than conventional tools. Data compression, automatic Fishers, optimization, etc....
- Careful study of the effect of emulators and baryonic feedback on the Euclid 3x2pt observables. Parameter estimation biases, efficient sampling, sensible priors....
- Preparation of consistent (and alternative) pipelines for Euclid data release analysis, including cross-correlations with Clusters, Voids or other non-Gaussian observables and correlations with other surveys such as CMB, radio 21cm IM, SNIa and gravitational wave sirens.



