Distribución Log Normal

La distribución log-normal es una distribución de probabilidad de una variable aleatoria cuyo logaritmo está normalmente distribuido.

Es decir:

A veces las variables en un sistema siguen una relación exponencial como x = exp(w).

Si el exponente es una variable aleatoria, digamos w, x= exp(w) es también una variable aleatoria y nos interesa conocer su distribución.

Un caso especial ocurre cuando w tiene una distribución normal. En ese caso la distribución de x se le llama distribución log normal. El nombre sale de la transformación ln(X) = w, el logaritmo natural de X está normalmente distribuido.

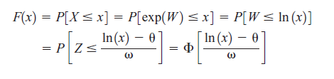
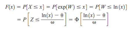
Las probabiliades para X son obtenidas de la transformación de W, pero es necesrio reconocer que el rango de X es (0, infinito). Supongamos que W está normalmente distribudia con media de θ, y varianza de ω^2 entonces, la función de distribución acumulada de X es:

Glorius Formula

Donde

  • Para X > 0, donde Z es una variable aleatoria estandar normal. (La tabla de la normal puede ser usada para determinar la probalidad)
  • F(x) = 0, para x < = 0

Variable aleatoria estándar

La Variable aleatoria estándar Z es una variable aleatoria normal con medio 0 y desviación estándar 1. Las probabilidades de la forma P(a ≤ Z ≤ b) se puede calcular con la ayuda de una tabla de distribución normal (tambien en el apéndice de Matematicas finitos).

Los parametros de una distribución log normal son θ y ω^2 pero atención, estos parametros son la media y la variance de una variable aleatoria normal W.

  • La media y la varianza de x están dadas por:

Propiedades

La distribución lognormal se caracteriza por las siguientes propiedades:

  • Asigna a valores a las tasas y probabilidades de fallo que de esta forma sólo pueden ser positivas.

  • Es idónea para parámetros que son a su vez producto de numerosas cantidades aleatorias (múltiples efectos que influyen sobre la fiabilidad de un componente).
  • La esperanza matemática o media en la distribución lognormal es mayor que su mediana. De este modo da más importancia a los valores grandes de las tasas de fallo que una distribución normal con los mismos percentiles del 5% y 50% tendiendo, por tanto, a ser pesimista.

Aplicaciones

  • La distribución lognormal se ajusta a:
    • Ciertos tipos de fallos (fatiga de componentes metálicos)
    • Vida de los aislamientos eléctricos
    • Procesos continuos (procesos técnicos)
    • Datos de reparación
    • Puede ser una buena representación de la distribución de los tiempos de reparación.
  • Es también una distribución importante en la valoración de sistemas con reparación.

  • La distribución lognormal es importante en la representación de fenómenos de efectos Proporcionales, tales como aquellos en los que un cambio en la variable en cualquier punto de un proceso es una proporción aleatoria del valor previo de la variable. Algunos fallos en el programa de mantenimiento entran en esta categoría.

Ejemplo en Excel

Made with Slides.com