205IQ

Anas Buyumad

Gauthier Cler

THE PROJECT

IQ CALCULATION

DR Von Humleit

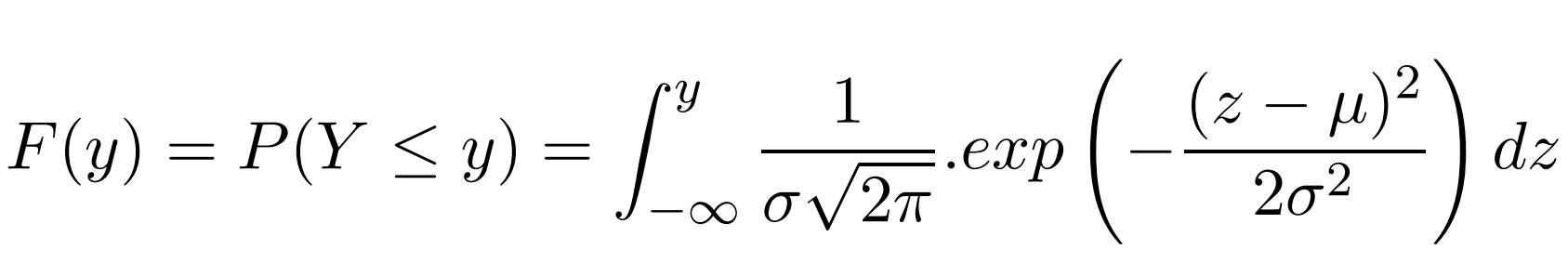
FORMULA

Probability density

Normal Law

DIFFERENT CALCULations

IQ under certain value

IQ between 2 values

Graph representation (0..200)

INTEGRATION

  • Used for numerical integration by approximation

SIMPSON's RULE

WITH

  • Uses equally spaced points

Questions

Made with Slides.com