Utilising sub-resolution halos in N-body simulations

Joaquín Armijo, Carlton Baugh, Nelson Padilla, Peder Norberg, and Christian Arnold

Using N-body simulations

Lbox = 1536 Mpc / h

The modified gravity light-cone simulation project

https://doi.org/10.1093/mnras/sty3044

  • Dark matter simulations to test cosmology and gravity models.
  • What are the limitations of these labs? The finite number of particles, and the boxsize.

Using N-body simulations

Lbox = 1536 Mpc / h

  • Dark matter simulations to test our cosmology and gravity models.
  • What are the limitations of this lab? The finite number of particles, and the boxsize.

The modified gravity light-cone simulation project

https://doi.org/10.1093/mnras/sty3044

Using N-body simulations

  • Low mass haloes can now be resolved with higher detail.
  • We can explore the clustering in a new range of scales.

The modified gravity light-cone simulation project

https://doi.org/10.1093/mnras/sty3044

Lbox = 768 Mpc / h

Let's increase the mass resolution fixing the same number of particles (decreasing the size of the box)

The halo mass function and simulation resolution

  • To study they internal properties, haloes with several hundreds particles may be used
  • On the other hand, many authors have used haloes
    down to 20 particles for the study of SAMs.
  • We select all bounded groups with more than 20 particles for this study.

z = 0

100 particles

The halo mass function and simulation resolution

z = 0

  • The bias of halos is determined by the relative abundance of halos in different large-scale environments.
  • This affects the clustering measurements that use such haloes.

The halo mass function and simulation resolution

z = 0

  • Can the mass functions be recovered? 
  • A weight is defined in bins of halo mass such that the differential mass function of the simulation agrees with a reference mass function.
  • We can use our high-resolution run (L768) as reference and the low-res L1536 to test the scheme.

Extending the resolution of the halo catalogue

z = 0

  • To study the weighting scheme in the clustering we first need to populate haloes with galaxies.
  • The halo occupation distribution prescription can be used to reproduce a mock catalogue.

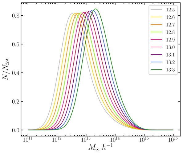
The halo occupation distribution

z = 0

Five parameters HOD from Zheng et al. (2007)

Keeping only central galaxies for this excercise. Two parameters:

  • The minimum halo mass to host a galaxy.
  • The transition one to none central galaxies in the low mass haloes.

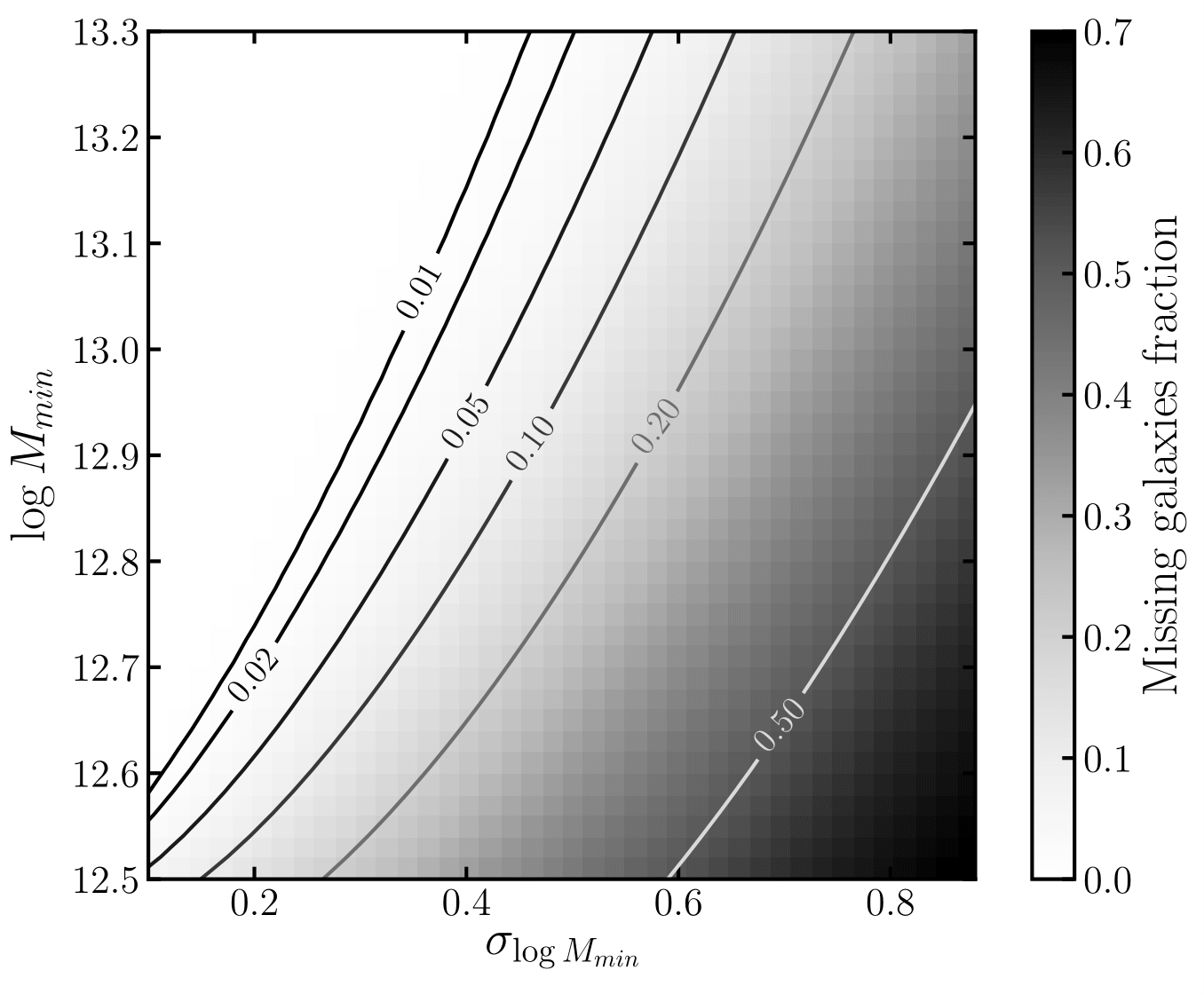
The fraction of missing galaxies.

z = 0

Halo mass

Luminosity Function * HOD

The 2PCF of low and high resolution simulations

z = 0

Armijo et al. 2021 (submitted)

Typical weights: ~1.5

Typical weights: 12.0

Using haloes with at least 11 particles

z = 0

The 2PCF of low and high resolution simulations

Armijo et al. 2021 (submitted)

Typical weights: ~1.5

Typical weights: 12.0

Using haloes with at least 11 particles

Recovering number densities

Number density

Armijo et al. 2021

The nature of sub-resolution haloes

Counting particles in cell

Random point distribution

The nature of sub-resolution haloes

Halo 3D densities

X [Mpc/h]

Y [Mpc/h]

Halo density

The nature of sub-resolution haloes

Halo densities

Armijo et al. 2021

Low mass haloes are biased to high densities on low-resolution simulations

Armijo et al. 2021

The nature of sub-resolution haloes

Halo densities

Low mass haloes are biased to high densities on low-resolution simulations

Summary and Conclusions

  • The conservative choice of haloes with hundreds of particles is arbitrary. What use we can give to sub-resolution haloes?
  • A simple weighting scheme to compensate for "missing" haloes by upweighting those that are recovered by the halo finder.
  • We allow the resolution of a halo catalogue to be extended down to small particle numbers. We used haloes with ~11 particles.
  • The scheme breaks down when the recovered clustering prediction becomes unacceptable within the errors (3-5%).

Thank you!

jarmijotorres

https://jarmijotorres.github.io/Joaquin.Armijo.Torres/

Made with Slides.com