A Deep Reinforcement Learning

Approach to Traffic Management

By Osvaldo Castellanos

Motivation

Ref: Machine Learning for Everyone

Ref: https://xkcd.com/1838/

RL Model

Ref: https://lilianweng.github.io/lil-log/2018/02/19/a-long-peek-into-reinforcement-learning.html#what-is-reinforcement-learning

Markov Decision Processes

Ref: https://lilianweng.github.io/lil-log/2018/02/19/a-long-peek-into-reinforcement-learning.html#what-is-reinforcement-learning

Important Concepts:

Ref: https://lilianweng.github.io/lil-log/2018/02/19/a-long-peek-into-reinforcement-learning.html#what-is-reinforcement-learning

Ref: https://lilianweng.github.io/lil-log/2018/02/19/a-long-peek-into-reinforcement-learning.html#what-is-reinforcement-learning

Ref: https://lilianweng.github.io/lil-log/2018/02/19/a-long-peek-into-reinforcement-learning.html#what-is-reinforcement-learning

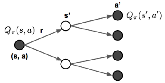
Backup Diagram

Ref: https://medium.freecodecamp.org/diving-deeper-into-reinforcement-learning-with-q-learning-c18d0db58efe

A Taxonomy of RL Algorithms

Ref: Spinning up RL

Approaches:

  • Dynamic Programming
  • Policy Evaluation
  • Policy Improvement
  • Policy Iteration
  • Monte-Carlo Methods
  • Temporal-Difference Learning
    • SARSA: On-Policy TD
    • Q-Learning: Off-Policy TD
  • Deep Q-Network

Deep Q-Network

URL: https://2.bp.blogspot.com/-bZERYUNyjao/Wa98yt7GjhI/AAAAAAAACt8/SYQjUNrbe1YDtKTMKR6LPt68C0pPqkoowCLcBGAs/s1600/DRL.JPG

Ref: URL: https://2.bp.blogspot.com/-bZERYUNyjao/Wa98yt7GjhI/AAAAAAAACt8/SYQjUNrbe1YDtKTMKR6LPt68C0pPqkoowCLcBGAs/s1600/DRL.JPG

import gym
env = gym.make("CartPole-v1")
env = gym.wrappers.Monitor(env, "cart-pole")
observation = env.reset()
for _ in range(1000):
  env.render()
  action = env.action_space.sample() # your agent here (this takes random actions)
  observation, reward, done, info = env.step(action)

  if done:
    observation = env.reset()
env.close()

OpenAI Gym

Main Functions Needed in a Custom Environment to Interface with Gym:

  • Reset
  • Step
  • Render

Step returns:

  • next state
  • reward
  • done
  • info
import numpy as np
import os
import gym
from gym import error, spaces
from gym import utils
from gym.utils import seeding
from gym_traffic.envs import traffic_simulator
import pygame

class TrEnv(gym.Env):
    metadata = {'render.modes': ['human', 'rgb_array']}
    def __init__(self):
        self.sim = traffic_simulator.TrafficSim()
        self.action_space = spaces.Discrete(n=2)
        self.observation_space = spaces.Box(low=0, high=1, shape=(4,7), dtype=np.uint8)

    def step(self, action):
        ob, reward, done, signal = self.sim.step(action)
        return ob, reward, done, signal

    def _get_obs(self):
        return self.sim.getGameState()

    def reset(self):
        self.sim.reset()
        return self.sim.getGameState()

https://github.com/oscastellanos/gym-traffic/blob/master/gym_traffic/envs/TrEnv.py

pygame (the library) is a Free and Open Source python programming language library for making multimedia applications like games built on top of the excellent SDL library. Like SDL, pygame is highly portable and runs on nearly every platform and operating system.

Ref: https://www.pygame.org/wiki/about

  • Does not require OpenGL
  • Multi core CPUs can be used easily
  • Uses optimized C, and Assembly code for core functions.

traffic_simulator.py

 

https://github.com/oscastellanos/gym-traffic/blob/master/gym_traffic/envs/traffic_simulator.py

"Deep Reinforcement Learning for Traffic Light Control in Vehicular Networks," Liang et al., (2018), arxiv.org/abs/1803.11115

Ref: https://openai.com/blog/faulty-reward-functions/

State Action Reward
Position of cars per lane.

Up to 7 cars, bumper-to-bumper
0 - Horizontal Lane is green, Vertical is Red

1 - Horizontal is Red, Vertical is Green
r = W(t) - W(t+1)
  • Intersections consist of different statuses.
  • Complex behavior such as "Left turn on green," etc. require their own status
  • The time duration at one status is called a phase.  The number of phases is decided by the number of legal statuses.
  • In the Liang et al. paper, a cycle consists of phases with fixed sequences, but the duration of every phase is adaptive.

 

"Deep Reinforcement Learning for Traffic Light Control in Vehicular Networks," Liang et al., (2018), arxiv.org/abs/1803.11115


# Position Matrix                           Velocity Matrix

# Vehicles Heading East
([(array([[0., 0., 0., 0., 0., 0., 0.]]), array([[0., 0., 0., 0., 0., 0., 0.]])), 

# Vehicles Heading West
(array([[0., 0., 0., 0., 0., 0., 0.]]), array([[0., 0., 0., 0., 0., 0., 0.]])), 

# Vehicles Heading North
(array([[0., 0., 0., 0., 0., 0., 0.]]), array([[0., 0., 0., 0., 0., 0., 0.]])), 

# Vehicles Heading South                                                        
(array([[0., 0., 0., 0., 0., 0., 0.]]), array([[0., 0., 0., 0., 0., 0., 0.]]))], 

# Current Total Reward of Episode
0, 

# Is the episode done?
False)

Ref: https://github.com/sarcturus00/Tidy-Reinforcement-learning/blob/master/Pseudo_code/DQN.png

"Deep Learning for Video Game Playing," Justesen et al. (2019), arxiv.org/pdf/1708.07902.pdf

"Deep Reinforcement Learning for Traffic Light Control in Vehicular Networks," Liang et al., (2018), arxiv.org/abs/1803.11115

A To-Do list of upcoming changes to simulator/environment:

  • Refactor traffic-simulator.py
  • Add docstrings to methods
  • Include more statuses at an intersection
  • Extend to multiple lanes
  • Implement render in environment, add compatibility to monitor class of gym
  • Add tensorboard summaries for variables

For the Poster:

  • Finish implementing DQN
  • Adaptive phase duration
  • Implement DDQN
  • Add more graphs/results comparing random, fixed-timer, DQN, and DDQN

Final report:

  • Implement multi-agent reinforcement learning for multiple intersections
  • Add randomness to the environment by closing lanes for a period of time.

References:

  • "Deep Reinforcement Learning for Traffic Light Control in Vehicular Networks," Liang et al., (2018), arxiv.org/abs/1803.11115
  • Machine Learning for Everyone : https://vas3k.com/blog/machine_learning/
  • A (Long) Peek into Reinforcement Learning by Lilian Weng : https://lilianweng.github.io/lil-log/2018/02/19/a-long-peek-into-reinforcement-learning.html#what-is-reinforcement-learning
  • OpenAI Spinning Up : https://spinningup.openai.com/en/latest/spinningup/rl_intro.html
  • Understanding RL: The Bellman Equations by Josh Greaves : https://joshgreaves.com/reinforcement-learning/understanding-rl-the-bellman-equations/
  • OpenAI Gym basics: https://katefvision.github.io/10703_openai_gym_recitation.pdf
  • Diving Deeper into Reinforcement Learning with Q-Learning : https://medium.freecodecamp.org/diving-deeper-into-reinforcement-learning-with-q-learning-c18d0db58efe

 

 

Recommendations:

  • UCL Course on RL by David Silver : http://www0.cs.ucl.ac.uk/staff/D.Silver/web/Teaching.html



THANK YOU!

Made with Slides.com