바보같이 정렬하기

1309 백종천

힘듦 힘듦;;

머리 안 아프게 정렬하자!

정렬? 분류?

분류 ▶

정렬

Deep Dark Fantasy

깊게 깊게

정렬?

 원소들을 일정한 순서로 열거(전산학, 수학)

1) 비 내림차순

(각각의 원소가 전순서에 의해 이전의 원소보다 작지 않은 순서)

2)  입력을 재배열하여 만든 순열이다.

순열(치환) : 순서가 부여된 임의의 집합을 다른 순서로 뒤섞는 연산

비교 정렬

온라인 정렬

제자리 정렬

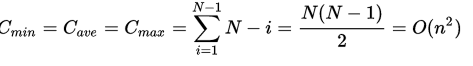
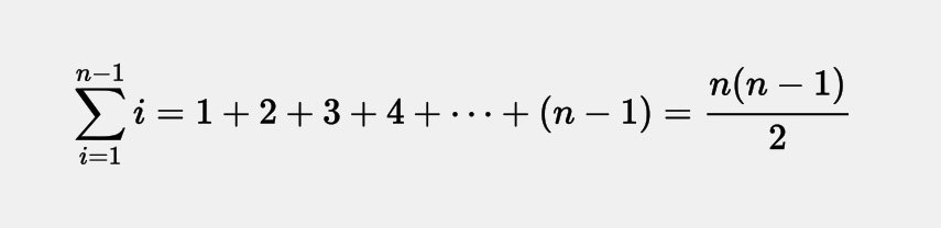
계산 복잡도

계산(시간) 복잡도

비교

교환

1. 거품 정렬

수면에 올라오는 거품

1. 거품 정렬

1. 거품 정렬

 static void Main(string[] args)
        {
            int exchangeNumber = 0;
            int compareNumber = 0;
            int[] elements = new int[] { 6, 5, 3, 1, 8, 7, 2, 4 };

            Console.Write("정렬 전 : ");
            foreach (int i in elements)
                Console.Write(i + " ");
            Stopwatch stopwatch = new Stopwatch();
            stopwatch.Start();
            for (int i = 0; i < elements.Length - 1; i++)
            {
                for (int j = 0; j < elements.Length - 1 - i; j++)
                {
                    compareNumber++;
                    if (elements[j] > elements[j + 1])
                    {
                        int temp = elements[j];
                        elements[j] = elements[j + 1];
                        elements[j + 1] = temp;

                        exchangeNumber++;
                    }
                }
            }
            stopwatch.Stop();

            Console.Write("\n정렬 후 : ");
            foreach (int i in elements)
                Console.Write(i + " ");

            Console.WriteLine($"\n비교 횟수 {compareNumber} 교환 횟수 {exchangeNumber}");
            Console.WriteLine($"수행 시간 {stopwatch.ElapsedTicks}Ticks(=100나노초)");

            Console.ReadKey(true);
        }   

2. 선택 정렬

2. 선택 정렬

static void Main(string[] args)
        {
            int exchangeNumber = 0;
            int compareNumber = 0;
            int[] elements = new int[] { 6, 5, 3, 1, 8, 7, 2, 4 };

            Console.Write("정렬 전 : ");
            foreach (int i in elements)
                Console.Write(i + " ");
            Stopwatch stopwatch = new Stopwatch();
            stopwatch.Start();
            for (int i = 0; i < elements.Length - 1; i++)
            {
                int indexMin = i;
                for (int j = i + 1; j < elements.Length; j++)
                {
                    compareNumber++;
                    if (elements[j] < elements[indexMin])
                    {
                        exchangeNumber++;
                        indexMin = j;
                    }
                }
                int temp = elements[indexMin];
                elements[indexMin] = elements[i];
                elements[i] = temp;
            }
            stopwatch.Stop();

            Console.Write("\n정렬 후 : ");
            foreach (int i in elements)
                Console.Write(i + " ");

            Console.WriteLine($"\n비교 횟수 {compareNumber} 교환 횟수 {exchangeNumber}");
            Console.WriteLine($"수행 시간 {stopwatch.ElapsedTicks}Ticks(=100나노초)");

            Console.ReadKey(true);
        }   

직접 계산도 해볼 수 있다!

3. 삽입 정렬

밀당!

3. 삽입 정렬

 static void Main(string[] args)
        {
            int exchangeNumber = 0;
            int compareNumber = 0;
            int[] elements = new int[] { 6, 5, 3, 1, 8, 7, 2, 4 };

            Console.Write("정렬 전 : ");
            foreach (int i in elements)
                Console.Write(i + " ");
            Stopwatch stopwatch = new Stopwatch();
            stopwatch.Start();
            for (int index = 1; index < elements.Length; index++)
            {

                int temp = elements[index];
                int aux = index - 1;

                while ((aux >= 0) && (elements[aux] > temp))
                {
                    compareNumber++;
                    elements[aux + 1] = elements[aux];
                    aux--;
                }
                elements[aux + 1] = temp;
                exchangeNumber++;
            }
            stopwatch.Stop();

            Console.Write("\n정렬 후 : ");
            foreach (int i in elements)
                Console.Write(i + " ");

            Console.WriteLine($"\n비교 횟수 {compareNumber} 교환 횟수 {exchangeNumber}");
            Console.WriteLine($"수행 시간 {stopwatch.ElapsedTicks}Ticks(=100나노초)");

            Console.ReadKey(true);
        }   

4. 퀵 정렬

4. 퀵 정렬

static void Main(string[] args)
        {
            int exchangeNumber = 0;
            int compareNumber = 0;
            int[] elements = new int[] { 6, 5, 3, 1, 8, 7, 2, 4 };

            Console.Write("정렬 전 : ");
            foreach (int i in elements)
                Console.Write(i + " ");
            Stopwatch stopwatch = new Stopwatch();
            stopwatch.Start();
            QuickSort(ref elements, 0, elements.Length - 1, ref exchangeNumber, ref compareNumber);
            stopwatch.Stop();

            Console.Write("\n정렬 후 : ");
            foreach (int i in elements)
                Console.Write(i + " ");

            Console.WriteLine($"\n비교 횟수 {compareNumber} 교환 횟수 {exchangeNumber}");
            Console.WriteLine($"수행 시간 {stopwatch.ElapsedTicks}Ticks(=100나노초)");

            Console.ReadKey(true);
        }

        static void QuickSort(ref int[] arr, int left, int right, ref int exchangeNumber, ref int compareNumber)
        {
            int i, j, pivot, tmp;

            if (left < right)
            {
                i = left;
                j = right;
                pivot = arr[left];
                //분할 과정
                while (i < j)
                {
                    while (arr[j] > pivot)
                    {
                        j--;
                        compareNumber++;
                    }
                    // 이 부분에서 arr[j-1]에 접근해서 익셉션 발생가능함
                    while (i < j && arr[i] <= pivot)
                    {
                        i++;
                        compareNumber++;
                    }

                    tmp = arr[i];
                    arr[i] = arr[j];
                    arr[j] = tmp;
                }
                arr[left] = arr[i];
                arr[i] = pivot;
                compareNumber++;
                exchangeNumber++;
                //정렬 과정
                QuickSort(ref arr, left, i - 1, ref exchangeNumber, ref compareNumber);
                QuickSort(ref arr, i + 1, right, ref exchangeNumber, ref compareNumber);
            }

5. 병합 정렬

5. 병합 정렬

 public static void MergeSort(ref int[] input, int low, int high)
        {
            if (low < high)
            {
                int middle = (low / 2) + (high / 2);
                MergeSort(ref input, low, middle);
                MergeSort(ref input, middle + 1, high);
                Merge(ref input, low, middle, high);
            }
        }

        public static void MergeSort(ref int[] input)
        {
            MergeSort(ref input, 0, input.Length - 1);
        }
  private static void Merge(ref int[] input, int low, int middle, int high)
        {

            int left = low;
            int right = middle + 1;
            int[] tmp = new int[(high - low) + 1];
            int tmpIndex = 0;

            while ((left <= middle) && (right <= high))
            {
                if (input[left] < input[right])
                {
                    tmp[tmpIndex] = input[left];
                    left = left + 1;
                }
                else
                {
                    tmp[tmpIndex] = input[right];
                    right = right + 1;
                }
                tmpIndex = tmpIndex + 1;
                compareNumber++;
            }

            if (left <= middle)
            {
                while (left <= middle)
                {
                    tmp[tmpIndex] = input[left];
                    left = left + 1;
                    tmpIndex = tmpIndex + 1;
                    compareNumber++;
                }
            }

            if (right <= high)
            {
                while (right <= high)
                {
                    tmp[tmpIndex] = input[right];
                    right = right + 1;
                    tmpIndex = tmpIndex + 1;
                    compareNumber++;
                }
            }

            for (int i = 0; i < tmp.Length; i++)
            {
                input[low + i] = tmp[i];
                exchangeNumber++;
            }

        }

정리!

빠른 순(슬라이드) : 병합 < 퀵 < 버블 < 선택 < 삽입

빠른 순(실제) :  버블 = 선택 < 삽입 <  퀵 = 병합

정리!

은근 이번에 배운 수학 개념이...

정리!

사실 프로그래밍 영역 ㅎ;;

정리!

정리!

그냥 정렬합시다..!

Made with Slides.com