Aula 03

Introdução à Física Clássica II

Prof. Ronai Lisbôa

Não compreendeu algo? Algo está esquisito? Comente!

Objetivos

Explicar o Movimento Harmônico Simples Amortecido.

Ao final dessa aula você deve se capaz de:

Bibliografia

Sears & Zemansky - Vol. 2 - 14a. edição.

Capítulo 13 - Movimento Periódico.

Seção: 13.7. 

Analisar o balanço de energia no amortecimento subcrítico.

Fonte: Halliday & Resnick
Fonte: Sears & Zemansky

Identificar os três regimes de amortecimento:

Crítico

Supercrítico

Subcrítico

Oscilações Harmônicas Amortecidas

Nos osciladores harmônicos (molas e pêndulos):

A força é restauradora (e conservativa):

A energia mecânica total é conservada (Aula 2):

F=-kx
E=\frac{1}{2}kA^2=\frac{1}{2}m\omega_0^2A^2

Mas as molas e pêndulos não oscilam indefinidamente: após algum intervalo de tempo, eles atingem o repouso porque existe uma força resistiva cujo efeito é diminuir a velocidade do oscilador.

Fonte: Wikipedia.

Se a amplitude não muda, a energia mecânica não muda!

Não é rigorosamente correto descrever as oscilações livres matematicamente por uma função periódica no tempo com amplitude constante.

O oscilador harmônico livre uma vez colocado em movimento, oscilará eternamente sem nenhuma diminuição da amplitude.

A partir de agora, para melhorar a modelagem de um sistema que oscile como oscilador harmônico, vamos incorporar ao modelo:

As forças viscosas (dissipativas).

São forças de atrito exercidas por fluidos (ar, água, óleo, etc.)...

que são forças não conservativas.

==> A energia mecânica não é conservada no tempo.

==> A amplitude da oscilação diminui com o tempo.

Existem três tipos de amortecimento.

Oscilações Harmônicas Amortecidas

As forças viscosas são opostas à velocidade do corpo que se move num fluido.

Em alguns casos, matematicamente, se escreve como:

Os parâmetros \((b,c)\) dependem da geometria e da rapidez do corpo e também da natureza do fluido.

F_a=-b\,v-cv^2

O sinal negativo indica que a força possui sempre um sentido contrário ao da velocidade.

Para baixas velocidades do oscilador, a força de arrasto tem a forma,

F_a\approx-b\,v

A constante de amortecimento \(b\) tem dimensão de massa/tempo.

Oscilações Harmônicas Amortecidas

Você sabe mostrar isto?

Na presença de forças viscosas a energia mecânica não é conservada.

O oscilador harmônico uma vez colocado em movimento deixará de oscilar e vemos isso como uma diminuição da amplitude à medida que o tempo avança.

A diminuição da amplitude provocada por uma força dissipativa é chamada de amortecimento e o movimento correspondente denomina-se oscilação amortecida.

Fonte: Wolfgang & Bauer

Oscilações Harmônicas Amortecidas

Amplitude do oscilador diminui quando está dentro do fluido

Amplitude do oscilador permanece quanto está fora do fluido

Para o oscilador harmônico simples do tipo massa-mola com amortecimento, a equação de movimento supondo que a mola está esticada e acelerando para cima:

\sum \vec F = m\vec a
\vec F_a+\vec F_e = m\vec a
-bv - kx = ma
ma + bv + kx = 0
m\frac{d^2x}{dt^2} + b\frac{dx}{dt} + kx = 0
Fonte: Halliday & Resnick

Oscilações Harmônicas Amortecidas

-F_a+F_e = ma
+x
\frac{d^2x}{dt^2} + \gamma\frac{dx}{dt} + \omega_0^2x = 0

nós obtemos uma EDO de segunda ordem para a função posição:

\gamma = \frac{b}{m}
\omega_0^2 = \frac{k}{m}

frequência angular natural

fator de amortecimento

Qual é a função que satisfaz a EDO?

A equação de movimento de um sistema massa-mola amortecido é uma EDO,

\frac{d^2x}{dt^2} + \gamma\frac{dx}{dt} + \omega_0^2x = 0
\gamma = \frac{b}{m}=\frac{1}{tempo}
\omega_0 = \sqrt{\frac{k}{m}}=\frac{1}{tempo}

A função deve ter a forma:

x(t)=Ae^{pt}

Oscilações Harmônicas Amortecidas

Devemos substituí-las na EDO:

(p^2Ae^{pt}+\gamma\, pAe^{pt}+\omega_0^2Ae^{pt})=0
(p^2+\gamma\, p+\omega_0^2)Ae^{pt}=0

Devemos testá-la:

1a. derivada:

\frac{dx}{dt}=pAe^{pt}

2a. derivada:

\frac{d^2x}{dt^2}=p^2Ae^{pt}

Para \(x(t)\) não nulo, a igualdade será zero se e somente se:

(p^2+\gamma\, p+\omega_0^2)=0

equação do segundo grau em \(p\).

É necessário resolver uma equação do segundo grau na variável \(p\):

As raízes da equação são (Bhaskara):

p^2+\gamma\, p+\omega_0^2=0
p_{\pm}=-\frac{\gamma}{2}\pm \sqrt{\left( \frac{\gamma}{2} \right)^2-\omega_0^2}
\Rightarrow p_{\pm}=-\frac{\gamma}{2}\pm \omega^{\prime}
\omega^{\prime} =\sqrt{\left( \frac{\gamma}{2} \right)^2-\omega_0^2}

onde

O comportamento da função \(x(t)\) vai depender da frequência de amortecimento, \(\omega '\) ou da relação entre os fatores (\(\gamma,\omega_0\)).

Oscilações Harmônicas Amortecidas

Essas frequências angulares são diferentes

Crítico:

\omega ' = 0

Raiz nula =>

\frac{\gamma}{2} =\omega_0
\Rightarrow b_c = 2\sqrt{mk}

Supercrítico:

\omega ' > 0

Raiz positiva =>

\frac{\gamma}{2} >\omega_0
\Rightarrow b>b_c

Subcrítico:

\omega ' < 0

Raiz negativa =>

\frac{\gamma}{2} <\omega_0
\Rightarrow b< b_c

\(\omega_0\) - freq. natural

\(\omega_0\) - freq. natural

\(\omega'\) - freq. de amortecimento

\(\gamma\) - fator de amortecimento

Não há oscilações nos regimes crítico e supercrítico. O sistema vai mais rapidamente para o equilíbrio no regime crítico que no supercrítico.

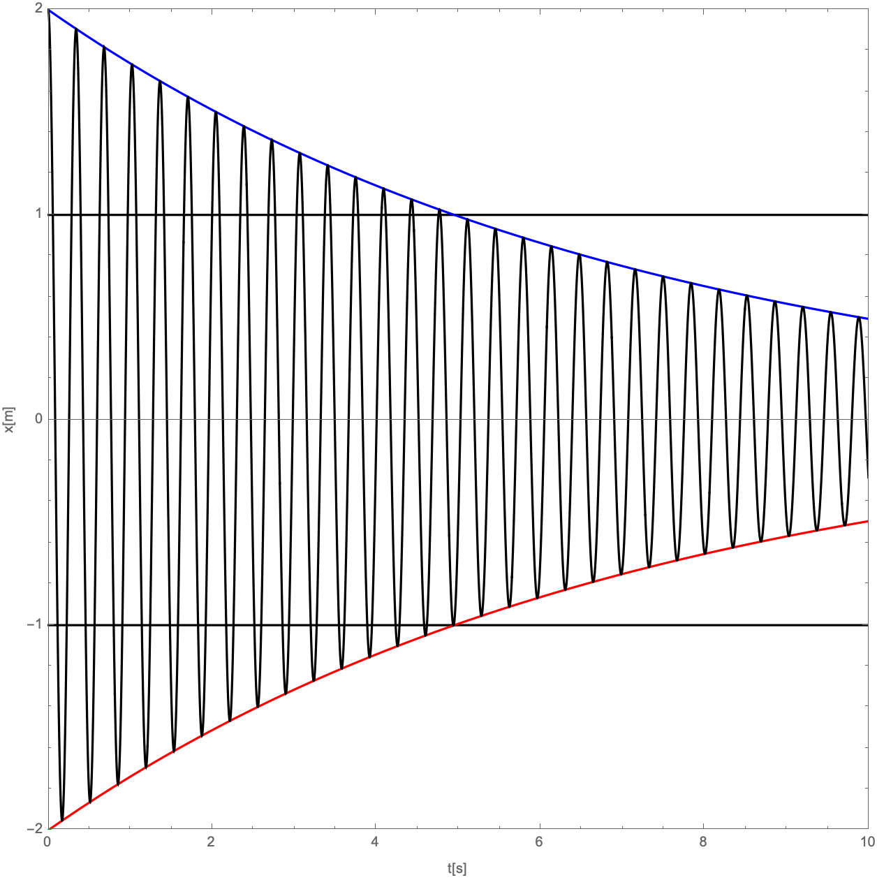
O oscilador tem período constante, mas  a amplitude da oscilação decai exponencialmente com o tempo (modulada pela envoltória).

Fonte: Prof. Tarciro Mendes
Fonte: Prof. Tarciro Mendes

Período amortecido

Envoltória

Oscilações Harmônicas Amortecidas

\omega' > 0
\omega' = 0
\omega^{\prime} =\sqrt{\left( \frac{b}{2m} \right)^2-\frac{k}{m}}
\omega' < 0
+Ae^{-(\gamma/2)t}
-Ae^{-(\gamma/2)t}
\Rightarrow b>b_c
\Rightarrow b_c = 2\sqrt{mk}
\omega ' < 0
\Rightarrow b< b_c

Oscilações Amortecidas. Regime crítico.

O fator de amortecimento assume um valor mínimo para impedir a oscilação:

x(t) = e^{-\frac{\gamma}{2}t} \left( A_+ + A_- \,t \right)

Mostre que se \(x(0)=x_0\) e \(v(0)=v_0\), temos:

\omega^{\prime} =\sqrt{\left( \frac{\gamma}{2} \right)^2-\omega_0^2} = \sqrt{\left( \frac{b}{2m} \right)^2-\frac{k}{m}}
\Rightarrow\omega ' = 0
A_+ =x_0
A_- =v_0 +x_0\frac{\gamma}{2}

Simule:

\(x_0 = 10\) cm

\(v_0 = 0\) cm/s

\(m = 1,0\) kg

\(k = 4,0\) N/m

\(b = 4,0\) kg/s

Calcule: \(b_c; \gamma/2,\omega_0; A_+;A_-\).

A amplitude decai exponencialmente no tempo e não há oscilação. A função movimento fica:

\Rightarrow b_c = 2\sqrt{mk}
x(t) = e^{-\frac{\gamma}{2}t}(A_+ e^{+\omega ' t}+ A_- t\,e^{-\omega ' t})

ATENÇÃO: \(c\equiv b ; y(0)=x_0\)

Mostre isso. Utilize as condições inicias na função movimento.

Condições iniciais

Oscilações Amortecidas. Regime supercrítico.

O fator de amortecimento é predominante em comparação à frequência natural:

Mostre que se \(x(0)=x_0\) e \(v(0)=v_0\), temos:

\omega^{\prime} =\sqrt{\left( \frac{\gamma}{2} \right)^2-\omega_0^2} = \sqrt{\left( \frac{b}{2m} \right)^2-\frac{k}{m}}
\Rightarrow\omega ' > 0
A_+ = \frac{1}{2}x_0 - \frac{ x_0(\gamma/2)+v_0}{2 \sqrt{(\gamma/2)^2 - \omega_0^2 }}
A_- = \frac{1}{2}x_0 + \frac{ x_0(\gamma/2)+v_0}{2 \sqrt{(\gamma/2)^2 - \omega_0^2 }}

Simule:

\(x_0 = 10\) cm

\(v_0 = 0\) cm/s

\(m = 1,0\) kg

\(k = 4,0\) N/m

\(b = 5,0\) kg/s

Calcule: \(b_c; \gamma/2,\omega_0; A_+;A_-\).

A amplitude decai exponencialmente no tempo e sem oscilação ou com apenas uma oscilação:

\Rightarrow b>b_c = 2\sqrt{mk}
x(t) = e^{-\frac{\gamma}{2} t}(A_+ e^{+\omega ' t}+ A_- e^{-\omega ' t})

ATENÇÃO: \(c\equiv b ; y(0)=x_0\)

ATENÇÃO: \(c\equiv b ; y(0)=x_0\)

Mostre isso. Apresente para mim e ganhe bônus. Desafie-se!

Condições iniciais

Oscilações Amortecidas. Regime subcrítico.

O fator de amortecimento é menor que a frequência natural:

Mostre que se \(x(0)=x_0\) e \(v(0)=v_0\), temos:

\omega^{\prime} =\sqrt{\left( \frac{\gamma}{2} \right)^2-\omega_0^2} =i \sqrt{\frac{k}{m}-\left( \frac{b}{2m} \right)^2}
\Rightarrow\omega ' < 0
A_+ =x_0
A_- = \frac{v_0 +x_0\frac{\gamma}{2}}{ \sqrt{\omega_0^2 -(\gamma/2)^2} }

Simule:

\(x_0 = 10\) cm

\(v_0 = 0\) cm/s

\(m = 1,0\) kg

\(k = 4,0\) N/m

\(b = 2\) kg/s

Calcule: \(b_c; \gamma/2,\omega_0; A_+;A_-\).

A amplitude decai exponencialmente no tempo, e com oscilação:

x(t) = Ae^{-\frac{\gamma}{2}t} \cos(\omega 't+\delta)
\Rightarrow b< b_c =2\sqrt{mk}
x(t) = e^{-\frac{\gamma}{2}t}[ A_+ e^{+i\,\omega ' t}+ A_- e^{-i\,\omega ' t}]

ATENÇÃO: \(c\equiv b ; y(0)=x_0\)

Mostre isso. Apresente para mim e ganhe bônus. Desafie-se!

Condições iniciais

Oscilações Amortecidas. Balanço da energia.

As energias cinética e potencial no MHS variam no tempo:

K(t)=\frac{1}{2}mv^2=\frac{1}{2}m\omega_0^2A^2\text{sen}(\omega_0 t+\delta)
U(t)=\frac{1}{2}m\omega_0^2x^2=\frac{1}{2}m\omega_0^2A^2\text{cos}(\omega_0 t+\delta)

Os valores médios dessas energia em uma oscilação, são:

\overline{K(t)} \equiv \frac{1}{T}\int_0^T K(t) dt = \frac{1}{4}m\omega_0^2A^2
\overline{U(t)} \equiv \frac{1}{T}\int_0^T U(t) dt = \frac{1}{4}m\omega_0^2A^2

A energia mecânica no MHS é uma constante no tempo:

E = \frac{1}{2}m\omega_0^2A^2
\Rightarrow \overline{K(t)}=\frac{1}{2}E
\Rightarrow \overline{U(t)}=\frac{1}{2}E
Fonte: Halliday & Resnick
x(t)=A\text{cos}(\omega_0 t+\delta)

Integre essas funções no SYMPY e mostre que os resultados são os valores médios das energias apresentados. Lembre-se que \(T=2\pi/\omega_0\). Apresente seu resultado e ganhe bônus.

Oscilações Amortecidas. Balanço da energia.

No oscilador harmônico simples

Em um período \(T\) a energia é intercambiada entre cinética e potencial. O valor médio da energia é,

A potência dissipada pelo oscilador é nula,

E = \frac{1}{2}m\omega_0^2A^2
\overline{K(t)}=\frac{1}{2}E
\overline{U(t)}=\frac{1}{2}E
P=\frac{dE}{dt} = 0

Simule:

m = 10 \text{ kg}
k = 10 \text{ N/m}

Calcule:

\omega_0=\quad\text{rad/s}

Simule:

L = 3 \text{ m}
\gamma = 0 \text{ m}

No simulador é chamado de \(\alpha\)

Oscilações Amortecidas. Balanço da energia.

No oscilador harmônico amortecido a energia mecânica não é conservada. Afinal, a amplitude é função do tempo!

A energia cinética varia no tempo e sua amplitude diminui no tempo:

x(t) = Ae^{-\frac{\gamma}{2}t} \cos(\omega 't+\delta)
K(t)=\frac{1}{2}mv(t)^2
v(t) = \frac{1}{2} A e^{-\frac{\gamma}{2} t} [\gamma \cos( \omega ' t +\delta) + 2 \omega ' \text{sen}(\omega ' t +\delta)]

A energia potencial varia no tempo e sua amplitude diminui no tempo:

U(t)=\frac{1}{2}m\omega'^2x(t)^2
v(t) = A e^{-\frac{\gamma}{2} t} \sqrt{\gamma ^2+(2\omega ')^2} [\cos( \omega ' t +\delta) - \beta]
\beta = \arctan\left( \frac{2\omega'}{\gamma} \right)

e

Prove a última expressão. Apresente seu resultado e ganhe bônus. Dica: Utilize propriedades trigonométricas: A cos[a -b] + B sen[a-b] = ???

Oscilações Amortecidas. Balanço da energia.

A potência média dissipada pelo oscilador não é nula e cada ciclo (período):

P=\frac{dE}{dt} = \vec F_v\cdot \vec v=-b\,\vec v\cdot \vec v=-bv^2

A energia mecânica decresce no tempo porque a força do amortecimento realiza trabalho (negativo) sobre o sistema. A potência dissipada é:

O membro direito da equação é negativo sempre que o corpo oscilante estiver em movimento, independentemente de a velocidade \(v\) ser positiva ou negativa. Essa dissipação é máxima quando o oscilador passa pela posição de equilíbrio (\(v=v_{max}\)). Nos pontos de retorno (\(v=0)\) não há dissipação de energia.

v=\frac{dx}{dt}

onde

\overline{P}=\overline{\frac{dE}{dt}} =-b\overline{v^2}=-b\frac{\overline{E}}{m}

Integrando, vemos que a energia mecânica diminui exponencialmente no tempo:

onde

E_0=\frac{1}{2}m\omega_0^2A^2
\Rightarrow \frac{\overline{dE}}{\overline{E}}=-\frac{b}{m}dt
E(t)=E_0 e^{-\frac{b}{m}\,t}
\overline{K(t)}=\frac{1}{2}E
\frac{1}{2}m\overline{v^2}=\frac{1}{2}E
\overline{v^2}=\frac{\overline{E}}{m}
\Rightarrow \int_{E_0}^{E}\frac{\overline{dE}}{\overline{E}}=\int_0^t-\frac{b}{m}dt

Oscilações Amortecidas. Balanço da energia.

Para o oscilador harmônico fracamente amortecido a energia cai exponencialmente com um tempo característico ou constante de tempo (\(\tau\)). Para fins práticos é o tempo de vida da oscilação - o quanto ela dura.

onde

E(t)=E_0 e^{-{\gamma}\,t}
\tau = \frac{1}{\gamma}=\frac{m}{b}
Fonte: Randall Knight

O tempo característico de decaimento da amplitude é o dobro do tempo característico de decaimento da energia.

x(t) = A(t) \cos(\omega 't-\delta)
A(t)=Ae^{-\frac{\gamma}{2}\,t}

onde

O fator \(\gamma\) é o recíproco do tempo necessário para a energia diminuir \(1/e\) do seu valor inicial.

Quanto tempo leva para a amplitude diminuir?

Para \(t=2/\gamma\) a amplitude de oscilação cai por um fator \(1/e \approx 37\%\)

Oscilações Amortecidas. Balanço da energia.

As aplicações práticas requerem avaliação da qualidade do oscilador pelo assim chamado fator de qualidade, \(Q\) do oscilador:

E(t)=E_0 e^{-\frac{1}{\tau}\,t}
\Rightarrow \frac{dE}{dt} =-\frac{E}{\tau}
\Rightarrow \frac{dE}{E} =-\frac{dt}{\tau}
\left(\frac{|\Delta E|}{E} \right)_{ciclo}=\frac{T}{\tau}
\left(\frac{|\Delta E|}{E} \right)_{ciclo}=\frac{2\pi}{\omega_0\tau}
Q=\omega_0\tau=\frac{\omega_0}{\gamma}
\Rightarrow \frac{T}{\tau} =\frac{2\pi}{Q}

onde

O fator de qualidade (\(Q\)) é inversamente proporcional à dissipação relativa da energia por ciclo:

Q=\frac{2\pi}{|\Delta E|/E}=\omega_0\tau=\frac{\omega_0}{\gamma}

Quanto maior Q melhor é o oscilador (\(\gamma\) é grande!)

Para um período:

Oscilações Amortecidas. Balanço da energia.

O fator de qualidade (\(Q\)) é um número que é grande comparado à unidade para sistemas oscilatórios com pequenas taxas de dissipação de energia.

\omega^{\prime} =\sqrt{\omega_0^2-\left( \frac{\gamma}{2} \right)^2} = \sqrt{\omega_0^2-\left( \frac{\omega_0}{2Q} \right)^2} =\omega_0\sqrt{1- \frac{1}{4Q^2} }

Se (\(Q\)) é grande comparado a unidade obtemos que \(\omega ' \approx \omega_0\). Então,

x(t) = Ae^{-\frac{\gamma}{2}\,t} \cos(\omega 't-\delta) = Ae^{-\frac{\omega_0}{2Q}\,t} \cos(\omega_0t-\delta)
A(t) = Ae^{-\frac{\omega_0}{2Q}\,t}

O fator (\(Q\)) está relacionado ao número de ciclos da oscilação sobre a qual a amplitude da oscilação diminui por um fator \(1/e\).

Para \(n\) oscilações, \(t = nT = 2\pi n/\omega_0\) e:

A(n) = Ae^{-\frac{n\pi}{Q}}

Para \(n=Q/\pi\) a amplitude de oscilação cai por um fator \(1/e \approx 37\%\)

Quantas oscilações leva para a amplitude diminuir?

O que ocorre com a amplitude se \(Q\rightarrow \infty\)?

Questão 1

Uma ponte sobre um vale profundo é o ideal para se praticar bungee jumping. A primeira parte da atividade em saltar em queda livre por uma distância igual ao comprimento da corda não esticada. Suponha que a altura seja de 50 m. Uma corda de bungee jumping com 30 m de comprimento é usada e esticada em 5 m pelo peso de uma pessoa de 70 kg. Assim, o comprimento de equilíbrio da corda é de 35 m. Sabe-se que essa corda apresenta uma constante de amortecimento \(\gamma = \) 0,6, rad/s. Descreva o movimento vertical do praticante de bungee jumping em função do tempo.

Fonte: Wolfgang & Bauer

Game

Questão 2

Para um oscilador amortecido: m = 250 g, k = 85 N/m e b = 70 g/s.

(a) Qual o período do movimento?

(b) Qual é o tempo necessário para que a amplitude das oscilações amortecidas se reduza à metade do valor inicial?

(c) Quanto tempo é necessário para que a energia mecânica se reduza à metade do valor inicial?

(d) Qual o fator de qualidade?

Questão 3

Um corpo com massa de 20 g é suspenso por uma mola cuja constante vale 2,0 N/m. Qual deve ser o valor da constante de arraste b para que a frequência do oscilador seja metade da frequência natural?

Questão 4

Quando a tecla do dó central do piano (262 Hz) é tocada, ela perde metade de sua energia após 4,00 s. (a) Qual é o tempo de decaimento, 𝛕? (b) Qual é o fator Q para esta corda de piano?  (c) Qual é a perda relativa de energia por ciclo?

Questão 5

Uma mola de constante elástica k = 1,00 N/m tem um objeto de massa m = 1,00 kg preso a ela, que se move em um meio de constante de amortecimento b = 2,00 kg/s. O objeto é solto, do repouso, da posição x = +5 cm em relação à posição de equilíbrio. Onde ele estará após 1,75 s?

Questão 6

Um pequeno objeto com massa 3,0 kg caiu do telhado de um edifício alto e adquiriu uma rapidez terminal de 25 m/s. Considere que uma força de atrito exercida sobre o objeto tem a mesma forma de uma força de arrasto de um oscilador amortecido; isto é, a força é oposta ao movimento, e sua magnitude é linearmente proporcional à rapidez do objeto.

 

Um objeto idêntico ao que caiu é fixado a uma mola vertical (k = 230 N/m) e colocado para oscilar no ar com uma amplitude inicial de 0,20 m.

 

(a) Qual é o fator de qualidade para este oscilador?

 

(b) Quanto tempo leva para a amplitude diminuir para metade do seu valor inicial?

 

(d) Quanta energia foi dissipada neste intervalo de tempo?

Aplicação

Prédios oscilam

Amplitude máxima:

Período do evento:

A = \pm 1\text{ m}
T = 5\text{ min}

Aqui uma pesquisa que você pode realizar e apresentar ao professor.

Em uma pesquisa deve existir: objetivos, introdução, resultados, análises e conclusões, referências.

RESUMO

É possível habilitar as legendas em português (clique no símbolo de engrenagem no canto inferior direito do vídeo).

Motivação

Fonte: Wolfgang & Bauer

Os armotecedores devem permanecer no regime crítico para desempenho máximo, pois após um forte impacto o móvel retorna rapidamente à posição de equilíbrio sem oscilar.

Depois de muito uso, o efeito do amortecimento enfraquece e os armotecedores fornecem apenas um pequeno amortecimento. O carro sacoleja demais indicando que é hora de trocar os amortecedores.

VEÍCULO EM MAU ESTADO DE CONSERVAÇÃO. Essa é uma prática que compromete a segurança das vias e, por isso, é considerada uma infração grave, segundo o inciso XVIII do artigo de número 230 do CTB. As punições para o condutor que for flagrado conduzindo um veículo em mau estado de conservação são:

-Infração: Grave (5 pontos) e Multa: R$ 195,23.

Made with Slides.com