Towards a robust exploration of the Dark Sector with Euclid and Stage-IV surveys within the next decade
Santiago Casas
Postdoctoral Researcher
TTK, RWTH Aachen University




@santiagocasas @sant87casas


Towards a robust exploration of the Dark Sector with Euclid and Stage-IV surveys within the next decade
Santiago Casas
Postdoctoral Researcher
TTK, RWTH Aachen University




@santiagocasas @sant87casas



Planck 2018 CMB Temperature map (Commander) . wiki.cosmos.esa.int/planck-legacy-archive/index.php/CMB_maps
Cosmic microwave background
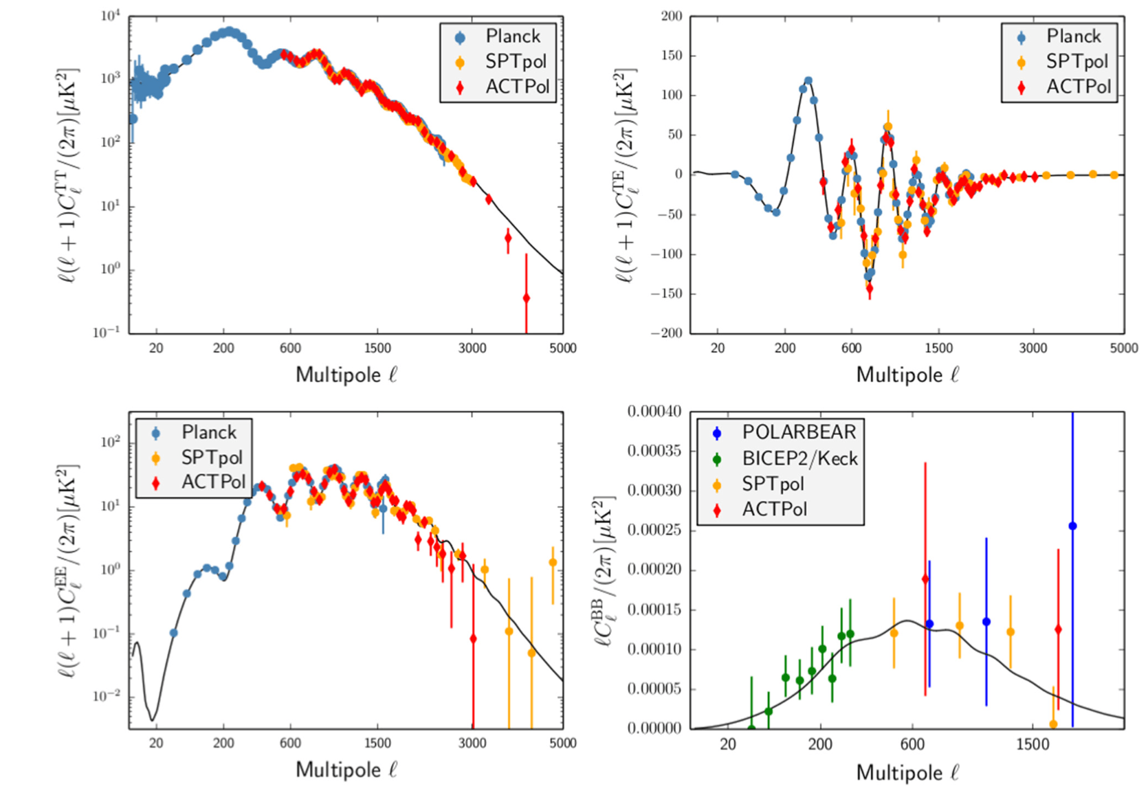
Planck 2018 Cosmological Results (1807.06209)

Planck 2018 measurements

SPT and ACT review: Staggs, Dunkley, Page (2018)

- Data in Temperature and Polarization agree well with a \(\Lambda\)CDM model
- Some 1\(\sigma\) anomalies have been reported, but they tend to go away, after accounting for i.e. look-elsewhere-effects

CMB: A (Gaussian) Success story

Large Scale StructureS
Illustris Simulation: www.nature.com/articles/nature13316
However, the Universe is not as nice and simple. It is a non-linear mess:
Dark Matter
Baryons
What happened between z=1000 and z=0?
Cosmologists looked up:
What happened between z=1000 and z=0?

(Image credit: DESI Collaboration/KPNO/NOIRLab/NSF/AURA/P. Horálek/R. Proctor)
we Basically KNOW how to measure:
-
Positions of galaxies in the sky (angles)
-
Redshifts of galaxies (photo or Spectro)
-
Shapes (ellipticities of galaxies)
https://www.esa.int/Science_Exploration/Space_Science/Euclid/Euclid_test_images_tease_of_riches_to_come

Do galaxies just randomly spread out across the sky?
https://www.esa.int/Science_Exploration/Space_Science/Euclid/Euclid_test_images_tease_of_riches_to_come

No they do not, there is actually a 2-point correlation (and higher orders) among them
Expresses the excess probabilty of finding another galaxy as a function of scale
Strong hint that some physical mechanism is at play!!

https://www.esa.int/Science_Exploration/Space_Science/Euclid/Euclid_test_images_tease_of_riches_to_come
Shape and orientation of galaxies is also correlated -- due to Weak Gravitational Lensing -- and this tells us about the content of (dark) mass-energy in the Universe

Some successful (STAGE-III) missions exploring these two aspects so far:



DES (Dark Energy Survey) and KiDS (Kilo-degree survey): photometric WL and Galaxy Clustering (angular)

SDSS, BOSS, eBOSS:
spectroscopic galaxy clustering
DES Y3 + KIDS-1000: CONSISTENT COSMOLOGY COMBINING COSMIC SHEAR SURVEYS (2305.17173v2)

Beyond - ΛCDM constraints from the full shape clustering measurements
from BOSS and eBOSS (2210.07304)

Everything roughly so far so good....
The Standard \(\Lambda\)CDM model
- \(\Lambda\)CDM is still best fit to observations.
- Some questions remain:
- \(\Lambda\) and CDM.
- CDM hasn't been found directly
- Cosmological Constant Problem:

Quantum Gravity?
O(100) orders of magnitude wrong
(Zeldovich 1967, Weinberg 1989, Martin 2012).
Composed of fine-tuning, hierarchy and coincidence
sub-problems, among others.

String Theory Landscape?

68% Dark Energy
5% Baryons
27% Dark Matter
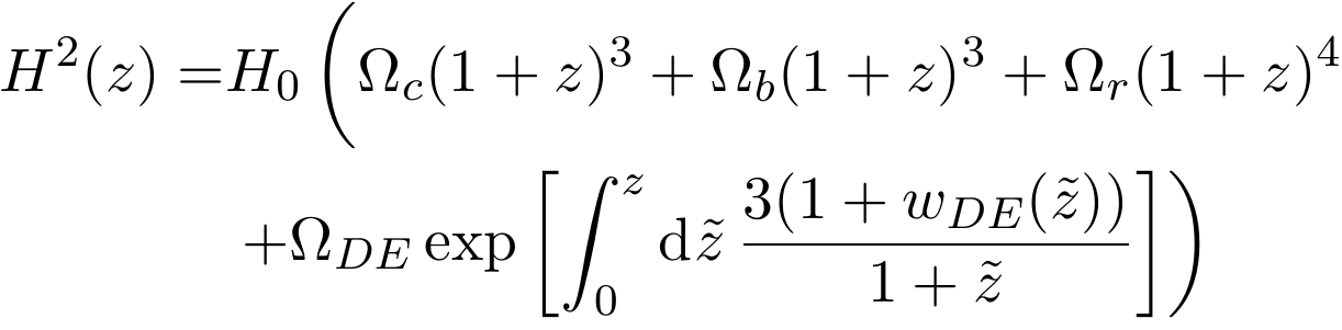
The expansion History

The expansion History

\(\phi\) ?
baryogenesis? \(_3^7\textrm{Li}\)?
H0 tension?
z_reio?
\(\Lambda\) ?
DM? PBH ?
Tensions IN \(\Lambda\)CDM

\(H_0\) tension at 5\(\sigma\)
- Tensions between local and sound-horizon-based measurements

Freedman et al
SH0ES, Riess et al
Planck 2018, VI


Tension with Planck in the
\(\sigma8\) - \(\Omega_m\) plane

Lange et al. arXiv: 2301.08692
- \( S_8 = \sigma_8 \sqrt{\Omega_{m,0}/0.3} \)
- So called "lensing is low" problem or S8 problem.
- At the moment just a discrepancy (no tension) at 2-3 \(\sigma\)
- Blind comparisons among surveys can rule out usual systematics below z<0.54 (A. Leauthaud et al.)
- Beyond \(\Lambda\)CDM modelling does not help with current nonlinear analysis
Planck 2018, VI

DES DRY3 arxiv:2207.05766
Tensions IN \(\Lambda\)CDM
Stage-IV surveys to the rescue?
https://www.esa.int/Science_Exploration/Space_Science/Euclid/Euclid_test_images_tease_of_riches_to_come
With Stage-IV surveys we will have \(\approx 10^9\) galaxy shapes with photometric (approximate) and \(\approx 10^6\) (precise) redshifts and positions


Only 1/64th of the complete Euclid field of view is represented here, which in turn is equivalent to a mere quarter of the apparent size of the Moon. Consider the vast expanse of 15,000 square degrees, encompassing one-third of the entire sky!
Euclid Space Satellite
ESA class M2 space mission, Launched 1st July 2023 with a SpaceX Falcon9 rocket
Credits: www.esa.int/Science_Exploration/Space_Science/Euclid, www.euclid-ec.org, ESA/NASA/SpaceX, Euclid Consortium
Sun-Earth Lagrange point 2, 1.5 million km from Earth





Euclid consortium scientist visits Cannes. Credits: ThalesAlenia Space

The Euclid Consortium fingertip galaxy, thanks to the contribution of many scientists within the EC, courtesy of Lisa Pettibone, Tom Kitching and ESA
Euclid Space Satellite
- Two instruments:
- VIS (visible photometer): shape and orientation of ~1 billion galaxies!
- NISP (near infrared spectrograph): ~20 million galaxy spectra !
- 6 years nominal mission

- 15 000 square degrees in the sky
- 16 countries, ~1500 members
- ~170 Petabyte of data!




VIS cosmic shear map
https://www.euclid-ec.org/blog/
Euclid preparation: I. The Euclid Wide Survey of ESA, R. Scaramella et al.
VIS cosmic shear map
Vera Rubin LSST
- Located in Chile, 8.4m telescope
- 3.2 Gigapixel camera!
- 20 billion galaxies
- Redshifts: 0 < z ~< 3 (photometric)
- 18,000 square degrees
- 11 years of observation
- 3x2pt, clusters, SNIa and more!


By LSST Project Office - http://www.lsst.org/gallery/telescope-rendering-2013, CC BY-SA 4.0, https://commons.wikimedia.org/w/index.php?curid=42054166
Vera Rubin LSST
DESI telescope
- 14 000 square degrees in the sky
- 20-40 million accurate spectra
- Redshifts: 0 < z < 2 (spectroscopic)
- Quasars up to z~3.5
- 5 years of observation
- Starting 2021
- Power spectra, Bispectra, Corr. Func.

DESI Data Release 1

5000 robotically controlled optical fibers
Tucson, Arizona, in the Schuk Toak District on the Tohono O’odham Nation
Credits: https://www.desi.lbl.gov

Vera Rubin LSST
DESI Baryon Acoustic Oscillations



In a nutshell: Measure a geometric scale that was imprinted on LSS at recombination


https://data.desi.lbl.gov/doc/papers/
Another tension we need to explain?
Vera Rubin LSST
Square kilometer array (SKAO)


- SKA Phase 1: SKA1-Low and SKA1-Mid
- SKA1-Low: 130,000 dipole antennas, 65km max. baseline (Australia)
- SKA1-Mid: ~200 dishes of ~15m diameter, max. baseline 150km (South Africa)
- Precursors: ASKAP, MEERKAT, HERA...
- €1.3 Billion, 16 countries, 710 Petabytes, 8 years construction




https://www.skao.int/
Other Large Scale Structure Probes I WOn't MENTION IN THIS TALK:
-
CMB LEnSING and ITS Cross-Correlation with LSS
-
Cosmic VOIDS
-
NON-Gaussian and HIGHER ORDER STatistics
-
CLUSTERS of GALAXIES
- ....
We have many problems/Mysteries in cosmology
BUT let's focus on a classical one
why is the universe accelerating?
(assuming we don't like \(\Lambda\))
First Step: Modify Gravity

Ezquiaga, Zumalacárregui, Front. Astron. Space Sci., 2018
Dynamical Dark Energy
- Dark Energy: Any dynamical cause for the accelerated expansion.


Euclid was commissioned to test with observations the most common parametrization (CPL):

And possible deviations of the growth of structures

M. Chevallier and D. Polarski (2001), and E. Linder (2003),
Cosmology and Fundamental Physics with the Euclid Satellite (Amendola et al , Living Reviews in Relativity, 2018)
Dynamical Dark Energy

- Current bounds from CMB and LSS alone
- \(\mathcal{O}(1)\) for \(w_0\) combining Planck+GC+WL+SNIa
- \(\mathcal{O}(0.01)\) with Euclid

- Here: Flat \(w_0 w_a\mathrm{CDM}\)
- GCsp+WL+GCph+XC
- Figure of Merit (~inverse area of ellipse):
1257 (flat) - Non-flat FoM:
500 - Optimistic flat:
\(\sigma_{w_0}=0.025\)
\(\sigma_{w_a}=0.092\)
Euclid preparation: VII. Forecast validation for Euclid cosmological probes, Blanchard et al. arXiv:1910.09273

Awardees of the Euclid STAR Prize Team 2019
Dynamical Dark Energy

- Current bounds from CMB and LSS alone
- \(\mathcal{O}(1)\) for \(w_0\) combining Planck+GC+WL+SNIa
- \(\mathcal{O}(0.01)\) with Euclid
- Here: Flat \(w_0 w_a\mathrm{CDM}\)
- GCsp+WL+GCph+XC
- Figure of Merit (~inverse area of ellipse):
1257 (flat) - Non-flat FoM:
500 - Optimistic flat:
\(\sigma_{w_0}=0.025\)
\(\sigma_{w_a}=0.092\)

Awardees of the Euclid STAR Prize Team 2019


Euclid preparation: VII. Forecast validation for Euclid cosmological probes, Blanchard et al. arXiv:1910.09273
Dynamical Dark Energy
Wolf, Ferreira 2310.07482
Problems with Dynamical DE CPL parametrization:
- It is just a first order Taylor expansion around \(a=1\)
- It is underdetermined, prior- and data-dependent
- parts of \( w_0 - w_a \) space do not match any meaningful model
- Many physical Quintessence models can recover same parameters even if we find \( w_0 \neq -1 , w_a \neq 0 \)


Raveri et al, 2107.12990
how do we do these forecasts again?
spectroscopic probe


BAO / AP-effect
Clustering
RSD

Spec-z
Euclid will also measure the 2pt corr-func of spectroscopic galaxies in redshift space
Euclid preparation: VII. Forecast validation for Euclid cosmological probes, Blanchard et al. arXiv:1910.09273
FoG

BAO-damping / IR-resummation
photometric primary probe

Euclid preparation: VII. Forecast validation for Euclid cosmological probes, Blanchard et al. arXiv:1910.09273
photometric primary probe

- Photometric galaxy density distribution.
- Bins convolved with photometric redshift PDF
- 10-15 bins in future Stage-IV surveys

- Window functions (Kernels projecting correlations into angular space) -> Limber
- Cosmic Shear Kernels are "delocalized" in z -> k
- Localization techniques such as BNT to allow for clear cuts
Euclid: Forecasts for kk-cut 3×23×2 Point Statistics, P. Taylor, V. Cardone, ..., SC, et al. 2012.04672
Fisher Matrix Forecasts

Bayes Theorem:
Probability of the model parameters given the data

Fisher Information Matrix:
Curvature (Hessian) of the Likelihood
Gaussian Likelihood in data space:
How do we actually perform those forecasts?

J. Schaffmeister
Euclid preparation: VII. Forecast validation for Euclid cosmological probes, Blanchard et al. arXiv:1910.09273
Fisher Matrix Forecasts
Fisher Matrix for a Gaussian likelihood of angular power spectra:
Parameter covariance:

Defines an ellipse:



Euclid preparation: VII. Forecast validation for Euclid cosmological probes, Blanchard et al. arXiv:1910.09273
Fisher Matrix Forecasts
Euclid preparation: VII. Forecast validation for Euclid cosmological probes, Blanchard et al. arXiv:1910.09273

- Here: Flat \(w_0 w_a\mathrm{CDM}\)
- GCsp+WL+GCph+XC
- Figure of Merit (~inverse area of ellipse):
1257 (flat) - Non-flat FoM:
500 - Optimistic flat:
\(\sigma_{w_0}=0.025\)
\(\sigma_{w_a}=0.092\)
Can we trust Fisher constraints?
Euclid: Validation of the MontePython forecasting tools, 2303.09451 , SC, Lesgourgues, Schöneberg, et al.

- Validated IST:F Fisher forecasts against MCMCs with
MontePython
-> Gaussian posteriors for \(w_0, w_a\) - It turns out Fisher approx. is good for a full 6yr data release of Euclid-like specs (optimistic and pessimistic).
- We also validated CAMB and CLASS to each other, the main Einstein-Boltzmann-Solvers on the market.
- We tested precise numerical accuracy of non-linear methods (Halofit and HMCode) and found differences in CAMB vs. CLASS.

The effect of Neutrinos


Simulations and images by my bachelor student: Yun Ling (RWTH), using CoNCEPT, developed by J. Dakin (Aarhus, U. Zürich)
Can we trust Fisher constraints also in this case?
The effect of Neutrinos
Euclid Preparation: Sensitivity to Neutrino parameters. (Under internal review). Archidiacono, Lesgourgues, SC, Pamuk, et al.
EUCLID PRELIMINARY

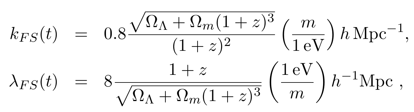
- Neutrinos free stream below a scale of \(k_{FS}\).
- They do not cluster below that scale.
- Suppression of the power spectrum.
- The non-relativistic transition imposes a minimum in \(k_{FS}\)


Dynamical Dark Energy + Neutrinos
Euclid Preparation: Sensitivity to Neutrino parameters. (Under internal review). Archidiacono, Lesgourgues, SC, Pamuk, et al.
EUCLID PRELIMINARY
- Use more "realistic" settings (HMcode, P_cb, no-fluid approx....) :
- \(\sigma_{w_0} \approx 0.04\)
\(\sigma_{w_a} \approx 0.13\) - \( m_{\nu} \lt 200 \rm{ meV}\)
- Euclid + Planck
- \(\sigma_{w_0} \approx 0.04\)
\(\sigma_{w_a} \approx 0.12\), - \( m_{\nu} \approx 60 \pm 40 \, \rm{ meV}\)

Fisher is not so reliable anymore, with 7, 8 or 9 free cosmological parameters!!


Dynamical Dark Energy + Neutrinos
Euclid Preparation: Sensitivity to Neutrino parameters. (Under internal review). Archidiacono, Lesgourgues, SC, Pamuk, et al.
EUCLID PRELIMINARY

Let's go to even more realistic settings
Euclid: Likelihood and Nonlinear Challenges
- GCspectro: EFT 1-loop RSD in multipoles
- 3x2pt photo:
- Covariance, nonlinear Super-Sample
- Bias expansion
- Emulators for nonlinear, HMCode, Halofit, Bacco, EuclidEmu
- Baryonic Feedback
- Different emulators with systematic offsets
- Euclid error bars can distinguish among them
- Biases in parameter estimation to be resolved
EUCLID PRELIMINARY


Credit: P. Carrilho
Credit: SC, for IST:NL

Cosmological Likelihood for Observables in Euclid
Euclid: Likelihood and Nonlinear Challenges
EUCLID PRELIMINARY
Credit: SC, for IST:L
Cosmological Likelihood for Observables in Euclid

Weak Lensing
(Cosmic Shear)
+ Baryonic feedback
+ Intrinsic alignment
+ multiplicative bias
+ dnz uncertainties
= 34 parameters
for LCDM flat
6x8 cores x 6 days
spectroscopic probe: Full Shape
Linde, Moradinezhad, Rademacher, SC, Lesgourgues (2402.09778)

The more-realistic GCspectro model, based on Senatore, Ivanov, Simonovic, Vlah, et al

CLASS 1-loop Code in development in Aachen, RWTH
Validated against CLASS-PT, Velocileptors
1-loop PT of density and velocity in redshift space
4 counterterms, 4 shot-noise, 4 higher-order biases
- Trade-off: larger error bars, more accuracy, less biasing
- Compared against IST:F model at different scales
- Many free parameters, good fit to ABACUS simulations


spectroscopic probe: Full Shape


- DESI full shape forecasts for w0, wa
- BGS and ELG
- As a function of k_max

Let's go Back to modified gravity
Modified Gravity and Dark Energy

- Add a scalar degree of freedom to the Einstein-Hilbert action
- (Non-)Minimal coupling, Kinetic terms
a SCALAR-tensor theory



Gregory Horndeski
https://www.horndeskicontemporary.com/works
And in the Lorentz Institute seminar room!
Costa Rica - Arenal Volcano
- Horndeski theory: most general theory for an extra scalar degree of freedom, with second order equations of motion in 4D and no ghosts
- 4 Lagrangian terms, which have been largely ruled out by:
- Late-ISW
- GW170817
- No self-acceleration -> uninteresting?

Gregory Horndeski
https://www.horndeskicontemporary.com/works
Parametrized modified gravity

Beyond \(\Lambda\)CDM the two linear gravitational potentials \(\Psi\) and \(\Phi\) are not equal to each other
We can describe general modifications of gravity (of the metric) at the linear perturbation level with 2 functions of scale (\(k\)) and time (\(a\))
Only two independent functions!
Parametrized approach for perturbations:
Parametrized modified gravity
- Using Planck satellite data in 2015 and 2018, constraints were obtained on these two functions \(\mu\) and \(\eta\).
- Late-time parametrization: dependent on Dark Energy fraction



Planck 2018 results VI, arXiv:1807.06209
Planck 2015 results XIV, arXiv:1502.01590
Planck alone relatively unconstrained: 100-500% errors
Parametrized modified gravity

Forecasts for Stage-IV : Euclid, DESI, SKA1, SKA2, only GC and WL
SC, Kunz, Martinelli, Pettorino, Phys.Dark Univ. 18 1703.01271


- Study more general case of free \(\mu\), \(\eta\) functions at each bin
- Non-linearities crucial for constraints
- Z-PCA decorrelation
- Constraints on \(\mu\), \(\eta\) of O(10%)
- For late-time and early-time scenario:
Constraints on \(\mu\), \(\eta\) of O(3%) - When combining GC+WL+Planck priors

Vera Rubin LSST
Square kilometer array (SKAO)


- Modelling is very analogous to GCsp, with brightness temperature on top and different biases
- GCsp-IM Cross-correlation in overlapping bins
- DESI : Two galaxy samples
- SKAO: HI Galaxies and 21cm-IM
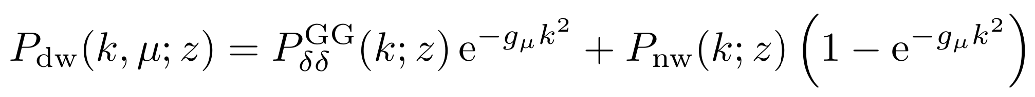
\(P^{\rm IM}(z,k) = \bar{T}_{IM}(z)^2 \rm{AP}(z) K_{\rm rsd}^2(z, \mu; b_{\rm HI}) \)
\(FoG(z,k,\mu_\theta) \\ \times P_{\delta\delta,dw}(z,k) \)
\( K_{\rm rsd}(z, \mu; b_{\rm HI}) = [b_{\rm HI}(z)^2+f(z)\mu^2] \)
\( b_{\rm HI}(z) = 0.3(1+z) + 0.6 \)
\( \bar{T}_{\mathrm{IM}}(z)= 189h \frac{(1+z)^2 H_0}{H(z)}\Omega_{HI}(z) \,\,{\rm mK} \)
\(\Omega_{HI} = 4(1+z)^{0.6} \times 10^{-4} \)
Carucci et al (2020) 2006.05996
Jolicoeur et al (2020) 2009.06197
\(P^{{\rm IM} \times \rm{g}}(z,k) = \bar{T}_{\rm IM}(z) {\rm AP} (z) r_{\rm IM,opt} K_{\rm rsd}(z, \mu; b_{\rm HI}) \)
\( \times K_{\rm rsd}(z, \mu; b_{\rm g}) FoG(z,k,\mu_\theta) P_{\delta\delta,dw}(z,k) \)
\( \times \exp[-\frac{1}{2} k^2 \mu^2 (\sigma_{\rm IM}(z)^2+\sigma_{\rm sp}(z)^2)] \)
SC, Carucci, Pettorino et al (2022) 2210.05705
Brightness temperature of 21cm emission line
Fraction of neutral hydrogen in the Universe
Vera Rubin LSST
Radio x Optical Cosmology

SC, Carucci, Pettorino et al (2022) 2210.05705



- WL is better at measuring \(\Sigma\) (40% relative error)
- GC is better at measuring \(\mu\) (20% relative error)
- SKAO-all-probes constrains at 3-5% relative error
- At Planck best fits
- DESI(GCsp)xSKAO(IM) helps in \(h, \sigma_8\) but not in MG parameters
- Combination of SKAO + one Stage-IV probe is as good as two Stage-IV
- Different noise and systematics -> break degeneracies
Classifying by screening
- Modified Gravity theories should recover GR at small scales, especially in dense regions, screening needed!
Brax, SC, Desmond, Elder 2201.10817, Universe 8 (2021), Review: Testing Screened Modified Gravity
- Perturbations of \(\phi\) and matter coupled in Jordan frame -> Yukawa-like fifth forces:
Different types of screening:
- Chameleon: The mass \(m(\phi_0)\) increases sharply inside matter
- Damour-Polyakov: The coupling \(\beta(\phi_0)\) vanishes inside matter
- K-mouflage and Vainshtein: \(Z(\phi_0) \gg 1\)
Classifying by screening
Screening mechanisms can be characterized by the inequality:
- Chameleon: \(k=0\) (surface N. potential is large)
- K-mouflage: \(k=1\) (N. acceleration is large)
- Vainshtein: \(k=2\) (curvature is large)
- \( f(R) \) Hu-Sawicki (see later)
- \(k\)-essence + univ. coupling
- nDGP (3+1)d brane embedded in 5d
For DE applications and under some assumptions:
- Chameleon screens everything above a certain potential threshold
- K-mouflage does not screen galaxy clusters
- Vainshtein screens all structures that turn non-linear

Brax, SC, Desmond, Elder 2201.10817, Universe 8 (2021), Review: Testing Screened Modified Gravity
Text
SC et al, Euclid: Constraints on f(R) cosmologies from the spectroscopic and photometric primary probes, 2306.11053
f(R) Hu-Sawicki model
Modification of the Einstein-Hilbert action
Induces changes in the gravitational potentials *
Scale-dependent growth of matter perturbations
Small changes in lensing potential
*for negligible matter anisotropic stress
Free parameter: \(f_{R0}\)
\(\lambda_C =32 \rm{Mpc}\sqrt{|f_{R0}|/10^{-4}}\)
"Fifth-force" scale for cosmological densities
Hu, Sawicki (2007)
Text
f(R) Hu-Sawicki model

Codes used: for background and scale-dependent linear perturbations: MGCAMB and EFTCAMB

Non-linear matter power spectrum:
Winther et al (2019) fitting formula

Scale-dependent growth, change in forecasting pipeline
Current Euclid KP-JC6-SP paper in preparation (ledy by Kazuya), investigating biasing by Emulators/ReACT compared to simulations
SC et al, Euclid: Constraints on f(R) cosmologies from the spectroscopic and photometric primary probes, 2306.11053
Text
f(R) Hu-Sawicki model
\(\sigma_{\log f_{R0}}=0.05\) (1%)
Current cosmological limits ~approx:
\( |f_{R0}|<10^{-6}\)
Full probe combination, optimistic Euclid constraints:
\(f_{R0}=(5.0^{+ 0.58}_{-0.52} \times 10^{-6})\)
Paper also contains impact of:
- Non-linear scales
- Cross-correlations
- Pessimistic settings
- LCDM-limit (numerical)




SC et al, Euclid: Constraints on f(R) cosmologies from the spectroscopic and photometric primary probes, 2306.11053
Text
f(R) Hu-Sawicki model
Euclid preparation: Simulations and nonlinearities beyond ΛCDM
Constraints on f (R) models from the photometric primary probes, Kazuya, SC, Pamuk, Bose, et al, (in prep.)

- What happens if we go to MCMC, can we trust our modelling?
- Not only fitting formulae, but many emulators available in the community
- Disagreements above the predicted Euclid error bars
- Baryonic modelling still unsufficient (and too degenerate) for full-analysis


EUCLID PRELIMINARY
Text
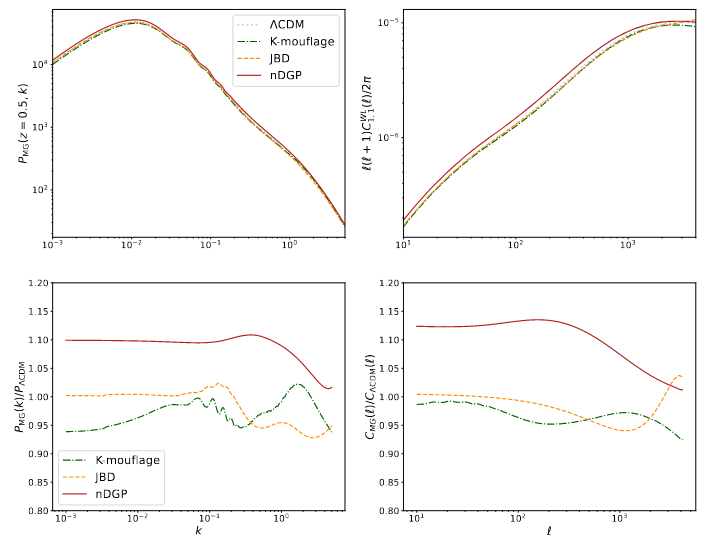
Scale-independent Modifications of GR

Forecasts for:
- Jordan-Brans-Dicke (no-screening)
- nDGP (5D brane model)
- k-Mouflage
- We work mostly in QSA MGCAMB or hiclass and non-linear modelling: Halo model or fits to simulations
Fruciante, Pace, Cardone, SC et al, Euclid: Constraining linearly scale-independent modifications of
gravity with the spectroscopic and photometric primary probes, 2306.12368

Current cosmo bounds \(\omega_{BD} \gtrapprox 1000 \), GR: \(\omega_{BD} \rightarrow \infty \)

\(r_c = G_5 / 2G_N \, , \Omega_{rc} \equiv c^2 / (4 r_c^2 H_0^2 ) \)
Current cosmo bounds \(\Omega_{rc} \lessapprox 0.27 \), GR: \(r_{c} \rightarrow \infty \)

Vary just \(\epsilon_{2,0}\) which in the limit \(\epsilon_{2,0} \rightarrow 0 \) turns the Kinetic term into a cosmological constant
Current cosmo bounds \( −0.04 \lessapprox \epsilon_{2,0} \lessapprox 0\)
Perform forecasts for limits close-to and far-from LCDM
Text
Scale-independent Modifications of GR
Example of result for JBD \(\sigma(\log \omega_{BD}) \):
(other results see paper)

Fruciante, Pace, Cardone, SC et al, Euclid: Constraining linearly scale-independent modifications of
gravity with the spectroscopic and photometric primary probes, 2306.12368


Full Euclid:
- JBD1: \(\omega_{BD} = 800 ^{+200}_{-160}\)
- JBD1: \(\omega_{BD} = 2500 ^{+1070}_{-750}\)
other models (To Be tested) with STAGE-IV

SC, Rubio, Pauly et al (2017) 1712.04956
Higgs-Dilaton inflation: early-late Universe connection

Model-independent anisotropic-stress \(\eta\)
Amendola, Pinho, SC 1805.00027

SC, Amendola, Baldi, Pettorino et al 1508.07208
Coupled Quintessence: DM-DE


Surviving Horndeski EFT
Frusciante, Peirone, SC, Lima, 1810.10521, Phys.Rev.D 99
Text

Growing Neutrino Quintessence
SC, Pettorino, Wetterich 1608.02358

Linder-Gamma and nDGP with baryons and WL
Tsedrik, Bose, Carrilho, Pourtsidou,S.
Pamuk, Casas, Lesgourgues, 2404.11508
CosmicFish Code

Code: CosmicFish
S.Casas, M.Martinelli and M.Raveri
Soon to be released: New full pythonic version
https://github.com/santiagocasas/cosmicfishpie

Fisher Information Matrix:
Curvature (Hessian) of the Likelihood
Example: Fisher Matrix for a Gaussian likelihood of angular power spectra:

machine Learning and variational methods
- In era of Big Data (billions of raw data points) and hundreds of possible models and simulations:
- Important to be as computationally efficient as possible
- Important to be as computationally efficient as possible
- Likelihood codes for Euclid 2-3s per evaluation, Einstein-Boltzmann codes 1-100 seconds (depending on model -> too slow!!
- Automatic-Differentiable (AD) codes: Leverage variational methods, such as Hamilton MC, AD-Variational Inference, Exact Fisher and beyond

In collaboration with Johanna Schaffmeister and Sven Günther

jaxcosmo library https://github.com/DifferentiableUniverseInitiative
Campagne, Lanusse, Zuntz, SC, et al, 2302.05163

Text
Conclusions
- \(\Lambda\)CDM paradigm still best fit to observations, but tensions, unknowns and discrepancies start to show cracks in the model.
- Several avenues of research important: Modified Gravity, cosmological Neutrinos, Early-Late time interaction.
- Stage-IV surveys, infrarred, optical and radio will improve error bars by one order of magnitude.
- Theoretical modelling (especially at non-linear scales) has to keep up with accuracy.
- Big Data challenge to be resolved with ML and AI
- Unknown unknowns awaiting for us in the data !
Merci!!
BACKUP



Cosmic Microwave Background
Planck 2018 CMB Temperature map (Commander) . wiki.cosmos.esa.int/planck-legacy-archive/index.php/CMB_maps
What happened in between, if in its infancy it was a fairly Gaussian, linearly perturbed, homogenous and isotropic Universe?
the road ahead of horndeski

The "surviving Horndeski" Lagrangian:

In the EFT formalism, FLRW, linear and
(unitary gauge time \(\rightarrow \phi\) ) :

Parametrize free functions and check for stability in solutions


We have shown that certain classes of models will not be distinguishable from LCDM, even with future surveys, at 1\(\sigma\), while others will be measured with 10%-60% precision in their parameters
Frusciante, Peirone, SC, Lima, 1810.10521, Phys.Rev.D 99
photometric primary probe

Directly constrains MG function \(\Sigma\) through Weyl potential
In this 2-point correlation function we can see geometric features that are directly related to the expansion history of the Universe

Credits: Tobias Liaudat, CosmoStat
Euclid Shape Pipeline

Credits: Rodlophe Cledassou, CNES
Euclid

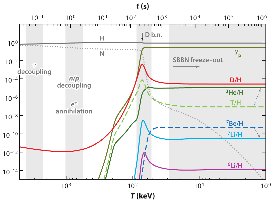
Big bang nucleosynthesis

doi: 10.1146/annurev.nucl.012809.104521
Age of the Universe
Temperature of the Universe
Cosmic microwave background




- Planck measurements, essentially cosmic-variance limited in TT
- Percent precision in cosmological parameters
- Degeneracies in \(\Omega_k\), \(\Omega_m\) and \(H_0\) broken with BAO and lensing
- \(H_0 = 67.37 \pm 0.54 \, \textrm{km/s/Mpc}\)
Planck 2018 results. VI. Cosmological parameters https://arxiv.org/abs/1807.06209
https://www.cosmos.esa.int/web/planck
Possible solutions and new directions
- \(\Lambda\) ?
- Inflation ?
- \(m_{\nu}\) ?
- LSS ?
- Big data?
Outline of working fields
- Coupled Quintessence
- Higgs-Dilaton
- Modified Gravity
- Horndeski/EFToDE
- EFToLSS
- Emulators
- Machine Learning
- Variational inference
- Stage-IV surveys
Radio and Optical

Galaxy Clustering and Cosmic Shear
Weak gravitational lensing
Galaxy Clustering
Orientation and ellipticities


Angles and redshifts
Supernovae Type Ia and Local H0

- In general: confidence on the distance ladder
- Concerns on calibration, anchors dust or
metallicity, have basically
faded out - Riess et al 2022*:
\(H_0 = 73.30 \pm 1.04 \, \textrm{km/s/Mpc}\)
using Cepheids and
high-z SNIa
* The Astrophysical Journal Letters, 934:L7 (52pp), 2022 July 20
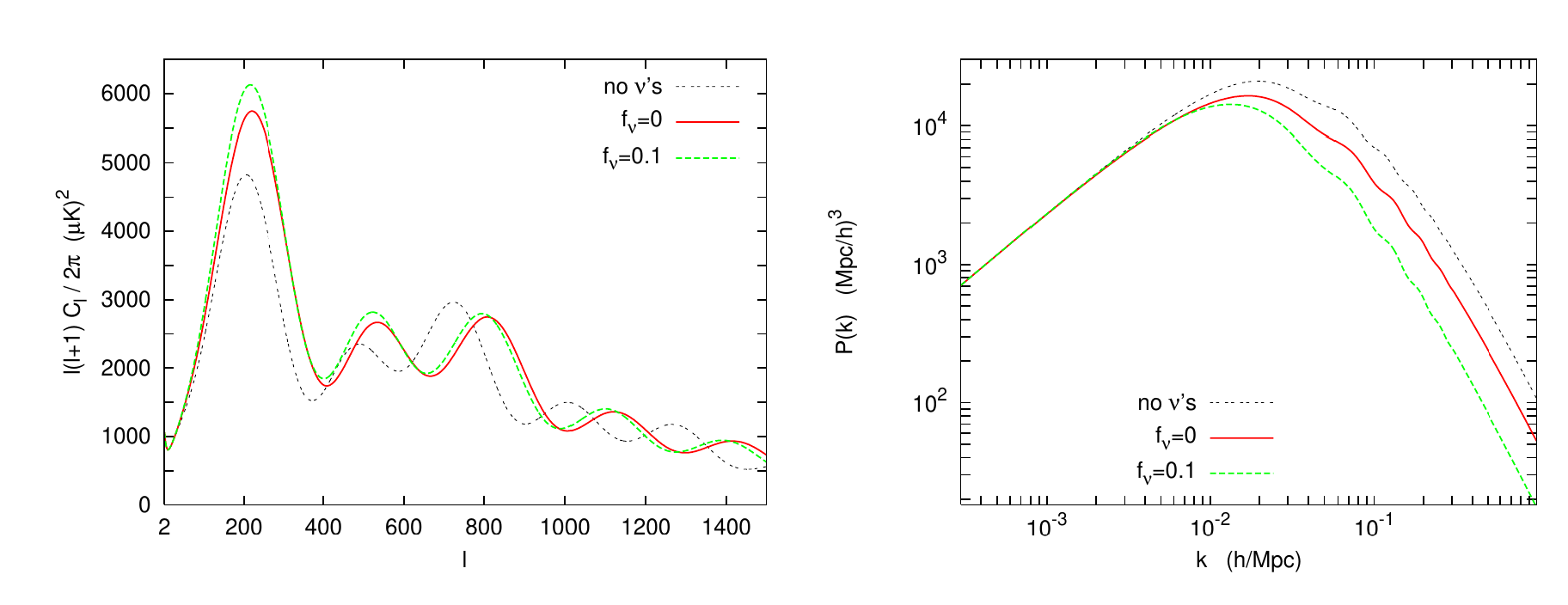
Neutrinos Masivos en Cosmologia

Neutrinos masivos: Free streaming


CMB angular spectrum and matter power spectrum are both dependent on neutrino mass, N_eff and ordering
Linear Perturbations


Vlasov-Poisson system is a set of diff.eqn. in which all matter-radiation species are coupled
Slides by: Dennis Linde

https://www.pablocarlosbudassi.com/2021/02/the-infographic-and-artistic-work-named.html
f(R) Hu-Sawicki model
Text
Modification of the Einstein-Hilbert action
Induces changes in the gravitational potentials *
*for negligible matter anisotropic stress
Scale-dependent growth of matter perturbations
Small changes in lensing potential
Free parameter: \(f_{R0}\)
Hu, Sawicki (2007)
"Fifth-force" scale for cosmological densities
\(\lambda_C =32 \rm{Mpc}\sqrt{|f_{R0}|/10^{-4}}\)
Euclid: Casas et al (2022) in preparation
f(R) Hu-Sawicki model
Text
Euclid: Casas et al (2022) in preparation

Codes used: for background and scale-dependent linear perturbations: MGCAMB and EFTCAMB

For non-linear power spectrum:
Winther et al (2019) fitting formula


