Rumlige figurer

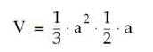
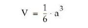
Formel for rumfang af pyramiden

Generelle formel: 

Udledte formel:

Alt:

Formlen udledes fra terningens formel

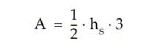
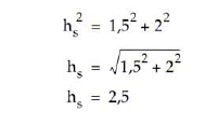
Eksempel

rumfanget findes ved:

arealet af sideflader findes ved:

pyramidens sider og størrelser kan udledes med udgangspunkt i den originale formel

Formel for rumfang af kugleafsnit/kugleudsnit

rumfanget af et kugleafsnit

rumfanget af et kugleudsnit

udsnittet/afsnittet kan bestemmes på basis af kuglens formel for rumfanget

Guldins regler

givet et legeme med formlen:

Overfladearealet er lig den vej, tyndepunktet gennemløber, ganget med linjestykkets længde

Ved drejning en vilkårlig vinkelretning v, fås ovenstående formel

runfanget er lig den vej, tyngdepunktet gennemløbet ganget med arealet

tyngdepunktet ligger i diagonalernes skæringspunkter, og a er afstanden mellem tyngdepunktet og aksen

Eksempel 1

Ved at opdele mere komplekse geometriske figurer, kan Guldins regler derefter benyttes, efter at have fundet tyngdepunktet a.

Eksempel 2

Ved Guldins 1. regel bestemmes overfaldearealet

Ved Guldins 2. regel bestemmes rumfanget

Text

roteret 360 g om x-asken -

Guldins 1. regel

Guldins 2. regel

Made with Slides.com