Billing

Problèmes

Prix personnalisés

&

Échelle de prix

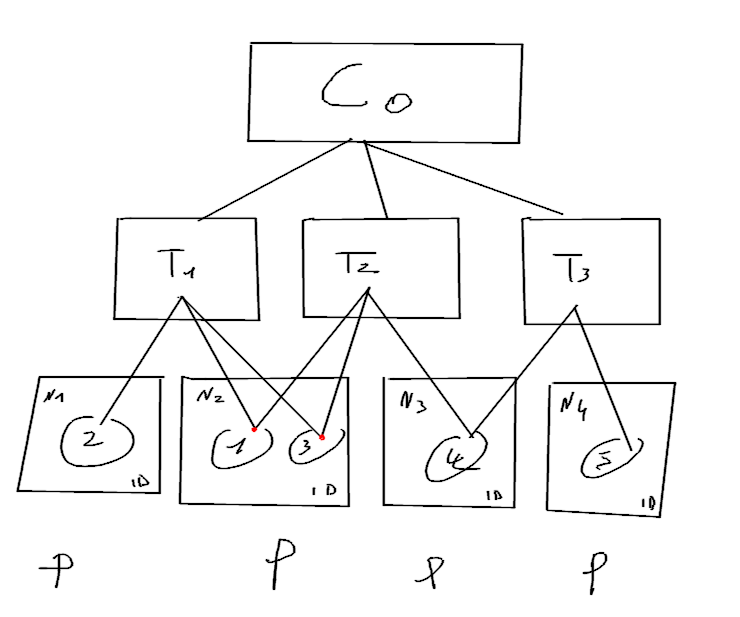
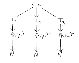
Comptage

Objectifs

Precis

Scalable

Equilibré

Faisable

Solutions

Prix personnalisés

&

Échelle de prix

1) L'empecher de deploy plus de node pour les prix customs

3) Faire que la difference entre les categories soit en pourcentage

4) Faire que la reduction soit un pourcentage du prix réel

2) Faire que le pricing pour un prix custom ne se modifie jamais

5) Personaliser la tranche entière de pricing

Solutions

Comptage

1) Enregister aussi les horaires de up/down

3) Ramener tout le temps en simultané

2) Return un prix (par node) a la place d'un temp up

Made with Slides.com