Evented Ruby, yo
Kalon Hinds
http://github.com/hkal
@_hkal
$('.btn').click(function() {
$(this).remove();
});
In the beginning,
there were batch processing systems
- non-interactive jobs
- jobs could be stored and executed later
- once a job began it continued until completion or an error occurred
However, as systems became larger and more complex people realized that...

Structured Design
Edward Yourdon, Larry L. Constantine
"Design Patterns" → Object-oriented programming
"Structured Design" → Structured programming
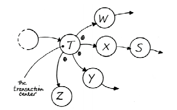
Transaction Analysis

Transaction Center
- get transactions
- analyze each transaction to determine its type
- dispatch on type of transaction
- complete the processing of each transaction
loop do
# wait for user input
input = gets.chomp
if input == "1"
# do whatever pressing "1" does
elsif input == "k"
# do whatever pressing "k" does
elsif input == "q"
# clean-up and exit application
else
# raise exception for unhandled event type or ignore
end
end
Yeah, that's right, pretty much everyone has written a transaction center
Let's modernize and simplify

- stream of data called events (transactions)
- a dispatcher (transaction center)
- a set of subroutines called event handlers
Event-driven Programming
- Application control flow is determined by events
- has an event loop and various event handlers
but, what are events anyway?
Events are...
a significant change in state
Shoes
- GUI toolkit
- a Ruby DSL built upon jruby and SWT
- Originally created by _why
Shoes.app(title: "See this? It's a shoes app") do # make GUI things in here # P.S... nobody knows shoes end
Observer Pattern
- One object notifies a set of third-party objects
- One-to-many relationship
- Used in MVC
- Decouples models from views
- Model → Observerable; View → Observer
Reactor Pattern
- Calls handlers upon events
- Allows events from multiple sources
- Single threaded process
- Non-block IO

Constraints
- Synchronous event dispatching
- Code must be written in a non-blocking manner
http://www.dre.vanderbilt.edu/~schmidt/PDF/reactor-siemens.pdf
http://www.cs.vu.nl/~eliens/online/oo/I/2/events.html
http://www.slideshare.net/autonomous/ruby-concurrency-and-eventmachine
http://en.wikipedia.org/wiki/Event-driven_programming
http://iweb.dl.sourceforge.net/project/eventdrivenpgm/ event_driven_programming.pdf
Evented Ruby, yo
By hkal
Evented Ruby, yo
Event Driven Programming in Ruby
- 1,789