Жизнь после js-фреймворков
Ваганов Андрей
Aggregion
В итоге
- Задачи решены
- Достаточный уровень качества
- Время/качество


Framerworks/Libs
- jQuery (август 2006)
- Knockout (июль 2010)
- Backbone (октябрь 2010)
- AngularJS (октябрь 2010)
- Ember (июнь 2011)
- Meteor (декабрь 2011)
- React (май 2013)
- ??? (???)

Что делать?
- Ничего
- Только PlainJS
- Framewoks+PlainJS
Что нужно
-
Работа с DOM и HTML
- Ajax
- Promise
- TwoWay data binding
GetElement
var $obj = $("#list .sublist .li");var n = document.querySelectorAll("#list .sublist li");GetElement

GetElement
$("#main ul:first-child").hide();document
.querySelector("#main ul:first-child")
.style.display = 'none';GetElement
GetElement
(function(dq) {
'use strict';
dq('.yourClass').style.display = "none";
}(document.querySelector));Show/Hide
jQuery
PlainJS
el.style.display = 'none';
el.style.display = '';$(el).hide();
$(el).show();Show/Hide perfomance

jQuery
PlainJS
$.each(array, function(index, element) { e = element; })for (var i = 0, len = array.length; i < len; i++) {
e = array[i];
}

AJAX
Post
$.ajax({
type: 'POST',
url: '/my/url',
data: data
});var request = new XMLHttpRequest();
request.open('POST', '/my/url', true);
request.setRequestHeader(
'Content-Type',
'application/x-www-form-urlencoded; charset=UTF-8'
);
request.send(data);AJAX
Get
$.get('//example.com', function (data) {
})var httpRequest = new XMLHttpRequest()
httpRequest.onreadystatechange = function (data) {
}
httpRequest.open('GET', url)
httpRequest.send()Promise
Angular promise
function asyncGreet(name) {
return $q(function(resolve, reject) {
setTimeout(function() {
if (true) {
resolve('Hello, ' + name + '!');
} else {
reject(
'Greeting ' + name + '!' +
'Unfortunally "' + name + '" is not allowed.' +
' Choose another name');
}
}, 1000);
});
}
var promise = asyncGreet('Robin Hood');
promise.then(function(greeting) {
alert('Success: ' + greeting);
}, function(reason) {
alert('Failed: ' + reason);
});Promise
jQuery promise
function asyncGreet(name) {
var d = $.Deferred();
setTimeout(function () {
if (true) {
d.resolve('Hello, ' + name + '!');
} else {
d.reject(
'Greeting ' + name + '!' +
'Unfortunally "' + name + '" is not allowed.' +
' Choose another name');
}
}, 1000);
return d.promise();
}
var promise = asyncGreet('Robin Hood');
promise.then(function (greeting) {
alert('Success: ' + greeting);
}, function (reason) {
alert('Failed: ' + reason);
});Promise
AJAX native promise
function Http () {
this.makeRequest = makeRequest;
function makeRequest(method,url,data) {
var data = data || '';
return new Promise(function(resolve, reject) {
var req = new XMLHttpRequest();
req.open(method, url);
req.onload = function() {
if (req.status == 200) {
resolve(req.response);
}
else {
reject(Error(req.statusText));
}
};
req.onerror = function() {
reject(Error("Something went wrong ... "));
};
req.send(data);
});
}
}Promise
AJAX native promise using
var http = new Http();
http.makeRequest('GET', 'data.json').then(
function (response) {
console.log("Success!", response);
}, function (error) {
console.error("Failed!", error);
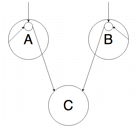
});2-way data binding
function observable(value) {
var listeners = [];
function notify(newValue) {
listeners.forEach(function(listener){ listener(newValue); });
}
function accessor(newValue) {
if (arguments.length && newValue !== value) {
value = newValue;
notify(newValue);
}
return value;
}
accessor.subscribe = function(listener) { listeners.push(listener); };
return accessor;
}
var a = observable(3), b = observable(2);
var c = observable(a() + b());
a.subscribe(function(){ c(a() + b()); });
b.subscribe(function(){ c(a() + b()); });
console.log(c()); // 5
a(10);
console.log(c()); // 12
b(7);
console.log(c()); // 172-way data binding

2-way data binding
{ ... }
function computed(calculation, dependencies) {
// вычислим сразу значение наблюдаемого
var value = observable(calculation());
// регистрируем слушателей для каждой зависимости
function listener() { value(calculation()); }
dependencies.forEach(function(dependency) {
dependency.subscribe(listener);
});
// сделаем обертку над значением чтобы пользователи computed()
// чтобы пользователи не могли вручную изменить значение
function getter() { return value(); }
getter.subscribe = value.subscribe;
return getter;
}
var a = observable(3), b = observable(2);
var c = computed(function(){ return a() + b(); }, [a, b]);
console.log(c()); // 5
a(10);
console.log(c()); // 12
b(7);
console.log(c()); // 172-way data binding
{...}
{...}
function bindValue(input, observable) {
var initial = observable();
input.value = initial;
observable.subscribe(function(){ input.value = observable(); });
input.addEventListener('input', function() {
observable(input.value);
});
}
var aText = document.getElementById('a-text');
var bText = document.getElementById('b-text');
var cText = document.getElementById('c-text');
var a = observable(3), b = observable(2);
var c = computed(function(){ return a() + b(); }, [a, b]);
bindValue(aText, a);
bindValue(bText, b);
bindValue(cText, c);2-way data binding
var aText = document.getElementById('a-text');
var bText = document.getElementById('b-text');
var cText = document.getElementById('c-text');
var a = observable(3), b = observable(2);
var c = computed(function(){ return a() + b(); }, [a, b]);
bindValue(aText, a);
bindValue(bText, b);
bindValue(cText, c);2-way data binding
ko.bindingHandlers.numericValue = {
init: function(element, valueAccessor) {
var observable = valueAccessor();
element.addEventListener('input', function() {
var v = element.value;
observable(isNaN(v = parseFloat(v)) ? 0 : v);
});
},
update: function(element, valueAccessor) {
element.value = ko.unwrap(valueAccessor());
}
};
ko.applyBindings({
a: ko.observable(3),
b: ko.observable(2)
});var aText = document.getElementById('a-text');
var bText = document.getElementById('b-text');
var cText = document.getElementById('c-text');
var a = observable(3), b = observable(2);
var c = computed(function(){ return a() + b(); }, [a, b]);
bindValue(aText, a);
bindValue(bText, b);
bindValue(cText, c);Жизнь после фрейворков
Андрей Ваганов
e-mail: prostoandrei91@gmail.com
Twitter: prostoandrei
VK: prostoandrei
Presentation: http://slides.com/prostoandrei91/js

Жизнь после js-фреймворков
By Andey Vaganov
Жизнь после js-фреймворков
- 1,173