V7
embedded JS VM
by Marko Mikuličić, Cesanta Software, for FOSDEM 2016
What is V7
- Embedded JavaScript engine written in C
- Compliant to ISO C90 and ISO C++98
- Targets embedded systems
- Or C/C++ programs that need scripting engine
- Conforms to ECMA 5.1 standard
- Easy to embed: only two files, v7.c and v7.h
- Easy to use embedding API
- Open Source, under GPLv2/commercial license
- GitHub repo: https://github.com/cesanta/v7/
Who are we
- Irish Startup founded by ex-Googlers in 2013
- Makers of the Mongoose embedded web server, over 1M downloads since 2004
- Goal: make it easy for everyone to make connected devices
Why JavaScript ?



Why JavaScript
- Why not Lua, Python, LISP, brainfeck, ...
- Well, why scripting ?
Why JavaScript
- Everybody (thinks) to know (a bit of) it
- Popular, Widely available
- Maturing but not stagnating

Goals: V7 vs other JS VMs
- Portable
- Small runtime overhead
- Small code footprint
- Reasonably fast
- Simple
Memory savings
Techniques
- Implicit data structures
- Compacting GC.
- Static object graph snapshots
- mmapping pre-compiled bcode
- coroutine based parser (segmented stack)
Questions ?
Implicit data structures
Implicit data structures are data structures with negligible space overhead; auxiliary information is mostly represented by permuting the elements cleverly
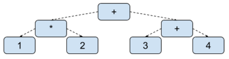
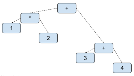
AST

AST

AST

AST - no pointers

(mostly)
V7embedded JS VM
By Marko Mikulicic
V7embedded JS VM
- 902