Wasserstein Distributionally Robust
Look-Ahead Economic Dispatch

Bala Kameshwar Poolla, Ashish R. Hota, Saverio Bolognani,
Duncan S. Callaway, and Ashish Cherukuri

Automatic Control Laboratory

Bala K. Poolla

Ashish Cherukuri

Duncan S. Callaway

Ashish R. Hota

Saverio Bolognani

Grid operators need to schedule traditional power plants without knowing tomorrow's solar power generation

Weather ensembles: possible realizations of tomorrow's irradiation based on sophisticated weather models

Even preparing for the worst-case would lead to
frequent violations of the safety constraints of the grid!

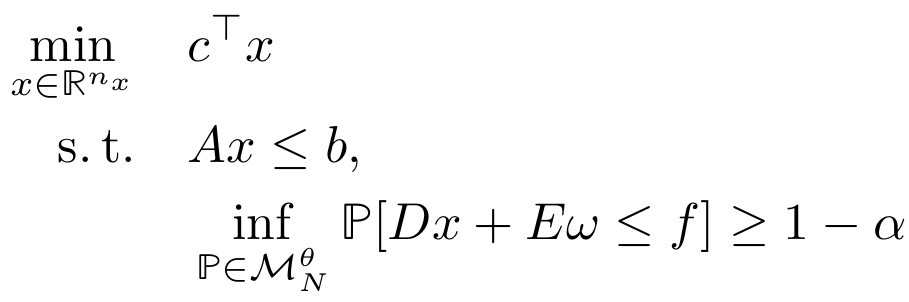
Distributionally robust optimization: satisfaction of constraints for a range of uncertain events which are statistically close to the forecasts

minimize economic cost as long as...

...the worst-case probability
(for statistically similar uncertainty)...

...of satisfying all safety constraints...

...is at least
99.9%

Key technical idea: a notion of distance between probability distributions that makes the optimization problem tractable.

empirical samples

"similar" probability distributions

Wasserstein metric

Earth Mover's distance between probability distributions

Key findings

  • This class of problems is computationally tractable
     
  • The degree of robustness can be tuned to obtain the desired tradeoff between risk and economic cost
     
  • Historical data instead of weather forecasts can also be used to estimate risk

higher cost

higher risk

30-year historical weather forecasts provided by

To appear in the IEEE Transactions on Power Systems
https://doi.org/10.1109/TPWRS.2020.3034488

Open-access preprint
https://arxiv.org/abs/2003.04874

CVar optimization - Chance-constrained optimization - Distributionally robust programming - Wasserstein uncertainty set - Stochastic optimal power flow - Real data experiments - Renewable power integration

Wasserstein Distributionally Robust Look-Ahead Economic Dispatch

By Saverio Bolognani

Wasserstein Distributionally Robust Look-Ahead Economic Dispatch

IEEE Transactions on Power Systems - Distributionally robust programming - CVar optimization - Chance-constrained optimization - Wasserstein uncertainty set - Stochastic optimal power flow - Real data experiments - Renewable power integration

  • 798