Introduction to Game Theory

Today's Agenda

Components of a Game

The Extensive Form (Ch. 2)

Strategies and the Normal Form (Ch. 3)

Beliefs, Mixed Strategies, and Expected Payoffs (Ch. 4)

Components of a Game

Components of a Game

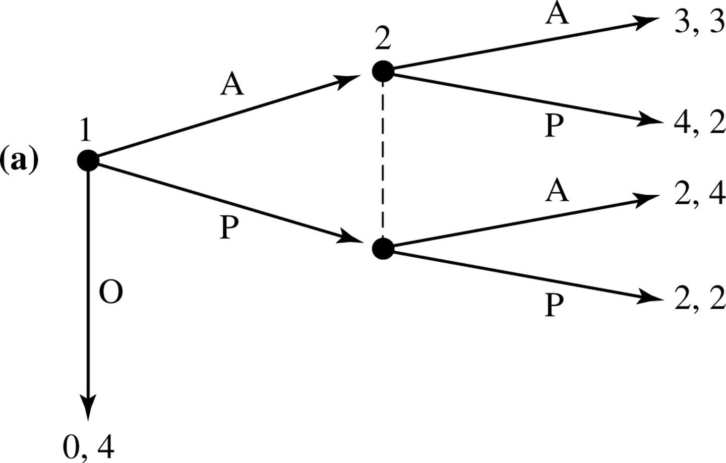
The Extensive Form

The extensive form of the game is a tree diagram showing:

Nodes:

Branches:

Initial node: where the game begins

Decision nodes: where a player makes a choice; specifies player

Terminal nodes: where the game ends; specifies outcome

Individual actions taken by players; try to use unique names for the same action (e.g. "left") taken at different times in the game

Information sets:

Sets of decision nodes at which the decider and branches are the same, and the decider doesn't know for sure where they are.

Strategies

A strategy is a complete, contingent plan for a player in the game.

The Normal Form

Notation

Strategy:

Strategy Space:

Strategy profile:

Strategy profile space:

Payoff functions:

Different extensive forms may have the same normal form.

Beliefs, Mixed Strategies, and Expected Payoffs

\sigma_i = \text{player $i$'s mixed strategy}
\theta_j = \text{player $i$'s beliefs about player $j$'s strategy}

Econ 51 | 09 | Introduction to Game Theory

By Chris Makler

Econ 51 | 09 | Introduction to Game Theory

Notation for understanding games

  • 949