Efficient Reduction of Kappa Models by Static Inspection of the Rule-Set
Andreea Beica, Calin C. Guet, and Tatjana Petrov
Total Spoilage!


\text{(if } k_2 << k_3 \text{ or concentration of E is low)}
(if k2<<k3 or concentration of E is low)
Stochastic Chemical
Reaction Networks
Rule Based Model (Kappa)
Enzimatic Reduction (Reactions)
Enzimatic Reduction (Rules)
Stochastic Chemical Reaction Networks
\text{Well mixed system with molecular species:}
Well mixed system with molecular species:
S = \{S_1, ... , S_n \}
S={S1,...,Sn}
\text{State is a multiset of species:}
State is a multiset of species:
x = (x_1, ... , x_n) \in \mathbb{N}^n
x=(x1,...,xn)∈Nn
\text{Reaction defined by }rate\text{ and }production\text{ and }consumption\text{ vector:}
Reaction defined by rate and production and consumption vector:
r_j \equiv (a_j, \nu_j, c_j) \in \mathbb{N}^n \times \mathbb{N}^n \times \mathbb{R}_{\geq 0}
rj≡(aj,νj,cj)∈Nn×Nn×R≥0
\text{Reaction semantics:}
Reaction semantics:

\text{Reaction defined by }rate\text{ and }production\text{ and }consumption\text{ vector:}
Reaction defined by rate and production and consumption vector:
r_j \equiv (a_j, \nu_j, c_j) \in \mathbb{N}^n \times \mathbb{N}^n \times \mathbb{R}_{\geq 0}
rj≡(aj,νj,cj)∈Nn×Nn×R≥0
??!
\mathbb{Z}^n
Zn
Stochastic Semantics (Markov Chain)
Deterministic Semantics (ODE)

N \to \infty
N→∞

Reduction Algorithm

Modifier Elimination
A + B + C \to A:C + B
A+B+C→A:C+B
A + C \to A:C
A+C→A:C
~
Similar Reaction Composition
A + 2B \to A:B + C
A+2B→A:B+C
3A + 2B \to 2A:B + 4C
3A+2B→2A:B+4C
~
3A + 4B \to 3A:B + 5C
3A+4B→3A:B+5C
Fast Dimerisation Reduction
M + M \to M_2
M+M→M2
(assuming the reaction rate is fast)
~
\text{New specie } M_T \text{ replaces both } M \text{ and } M_2
New specie MT replaces both M and M2
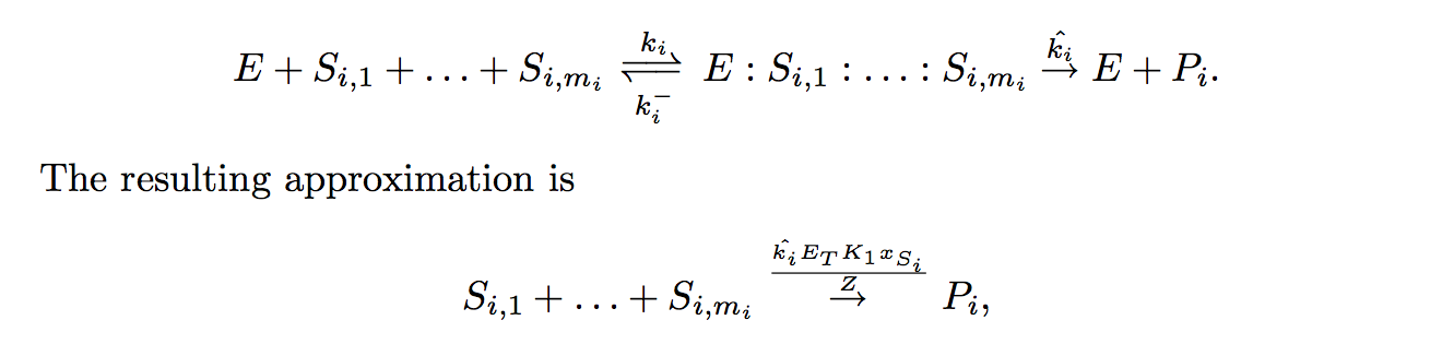
Generalised Enzymatic Reduction

\lambda-phage \text{ Model}
λ−phage Model

\text{92 species, 13 rules, 61 species } \rightarrow \text{ 5 proteins and 11 rules}
92 species, 13 rules, 61 species → 5 proteins and 11 rules

Conclusions
- Technique designed for stochastic reaction networks applied to Kappa models
- Tailored for GRNs - applications to other types of models are an open question (so far, it is not looking great)
- Implementation in OCaml

Kappa reductions
By Samuel Pastva
Kappa reductions
- 501