Data-driven and Model-based Verification via Bayesian Identification and Reachability Analysis
ufff...
Experiment Setup
S


u(t)
u(t)
\tilde{y}(t)
y~(t)
y(t)
y(t)

e(t)
e(t)
S \models \psi
S⊨ψ
???
\text{Parameter set } \Theta
Parameter set Θ
\text{Parametrised model } M(\theta) \mid \theta \in \Theta
Parametrised model M(θ)∣θ∈Θ
\text{Family of parametrised models } \mathcal{G} = \{ M(\theta) \mid \theta \in \Theta \}
Family of parametrised models G={M(θ)∣θ∈Θ}
\text{Satisfaction function } f_{\psi}(\theta) = \textbf{P}(M(\theta)) \models \psi)
Satisfaction function fψ(θ)=P(M(θ))⊨ψ)
\text{mapping to } \{0,1\} \text{ or } [0,1]
mapping to {0,1} or [0,1]
\text{Sample size } N_s
Sample size Ns
\text{Sample } Z^{N_{s}} = \{ u(t), \tilde{y}(t) \}_{t=1}^{t=N_s}
Sample ZNs={u(t),y~(t)}t=1t=Ns
\textbf{P} (S \models \psi | Z^{N_s}) = \int_{\Theta} f_{\psi}(\theta) p(\theta | Z^{N_s}) d\theta
P(S⊨ψ∣ZNs)=∫Θfψ(θ)p(θ∣ZNs)dθ
\text{Bayesian confidence: }
Bayesian confidence:
p(\theta | Z^{N_s}) = \frac{p(Z^{N_s}|\theta)p(\theta)}{\int_{\Theta}p(Z^{N_s}|\theta)p(\theta)d\theta}
p(θ∣ZNs)=∫Θp(ZNs∣θ)p(θ)dθp(ZNs∣θ)p(θ)
??
??
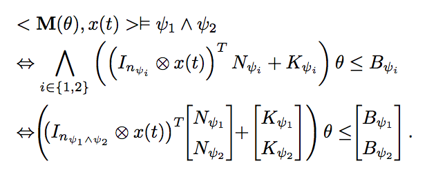
LTL over continuous signals


Atomic propositions: linear constraints in output space
Alphabet: Sets of atomic propositions (convex polytopes)
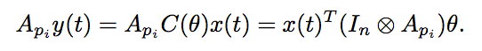
Models (LTI Systems)
x(t+1) = A \cdot x(t) + B \cdot u(t)
x(t+1)=A⋅x(t)+B⋅u(t)
Difference equations + output equations
y(t) = C(\theta) \cdot x(t) + D(\theta) \cdot u(t)
y(t)=C(θ)⋅x(t)+D(θ)⋅u(t)
Only C and D are parametrised!
Non-linearly parametrised models can be approximated using orthonormal basis functions


How do we compute this?
How do we compute that?!





Several maths later...
Bottom line: It is computable and the dimensionality depends on model and property


Bottom line: It is computable, assuming we know R, which can be approximated.



Bayesian Identification and Reachability Analysis
By Samuel Pastva
Bayesian Identification and Reachability Analysis
- 371