Digital bifurcation analysis
On the Qualities of Long-term
Behaviour in Discrete Systems
Samuel Pastva

- Long-term behaviour of complex systems typically depends on external parameters.
- Some influence is minor: modified location of a steady state, longer oscillation period.
- Some influence is substantial: switch from a stable to unstable behaviour, emergence of a new oscillation or chaos.
Motivation


Phase portrait

Oscillating attractor

Bifurcation Analysis
Continuous dynamical systems
Topological equivalence of continuous trajectories
Partitioning of parameter space into equivalence classes
Behavioural features: Attractors, repellers, saddle points, ...
Modes of behaviour: stability, oscillation, chaos/disorder, ...
Discrete state-transition systems
???
What is wrong with topological equivalence?
- State-transition systems don't have a meaningful topology.
- (Non-deterministic) discrete and (deterministic) continuous models have fundamentally different goals and functions.
"We show that although the two approaches are based on equivalent information, the resulting qualitative dynamics are different." [1]
[1] Jamshidi, Shahrad, Heike Siebert, and Alexander Bockmayr. "Preservation of dynamic properties in qualitative modeling frameworks for gene regulatory networks." Biosystems 112.2 (2013)
This is not a bug!
So what is digital bifurcation?

- The equivalence needs to be bases on runs. Graph alone does not encode full information: e.g. fairness? past? initial states?
- The equivalence needn't preserve state space cardinality or path lengths: e.g. two cycles of different period should be equivalent.
- The equivalence shouldn't depend on transient features: the number of unique (transient) paths towards a shared goal shouldn't be important.
So what is digital bifurcation?
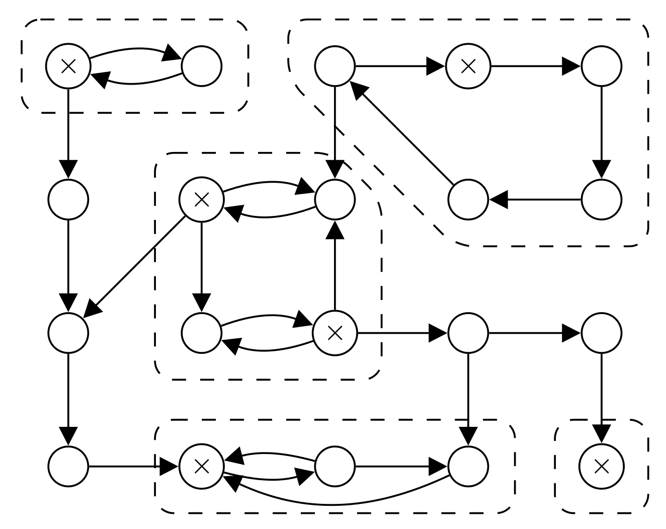
Anchor set: The smallest set of states that partitions every run into finite segments.
- Induces classes of states (behavioural features) based on the reachability preorder.
- Unique (up to isomorphism) for every autonomous system.
- Shares properties with SCC decomposition and feedback vertex set (depending on the exact structure of system runs).




Continuous autonomous dynamical system
Autonomous system of discrete runs
Phase portrait
Anchor set diagram
Topological equivalence
Anchor set isomorphism
Bifurcation diagram
Bifurcation decision tree
Boolean Networks

Network variables
Logical parameter(s)
"Coloured" asynchronous state-transition graph
Symbolic Representation (BDD)


=
Coloured Bottom SCC (Attractor) Detection
Different colours may lead to qualitatively different outcomes
In a fair system, the anchor set corresponds to bottom SCCs only
Forward-backward Bottom SCC detection
SCC closed = If x is in the set, the whole SCC of x is in the set as well.
F = FWD(set) is SCC closed.
B = BWD(set) is SCC closed.
Intersection of F and B is SCC closed.
set
FWD(set)
BWD(set)
If set = {x}, then this intersection is exactly the SCC of x.
If (FWD(set) ∖ set) is empty, then the SCC is a BSCC
In the coloured paradigm, this is happening for all colours simultaneously.
1. Poor pivot selection
1. Poor pivot selection
1. Poor pivot selection
2. Small BSCC, large graph
2. Small BSCC, large graph
Even if BSCC is small, BWD is still limited by graph diameter.
Transition Guided Reduction
Transition Guided Reduction
Transition Guided Reduction
Now we can continue reducing based on the remaining update functions...
Transition Guided Reduction


* Coloured approach gives at least a 10-100x speedup compared to parameter scanning.
** Running on ~150 real-world networks, a benchmark set collected as part of this project.
Experimental results
Other contributions to Symbolic Algorithms
- Exploring symbolic reachability with saturation on asynchronous Boolean networks.
- Full SCC decomposition using a coloured lock-step algorithm.
- Symbolic learning of (bifurcation) decision trees.
AEON
Symbolic Analysis of Partially Specified Boolean Networks


Uninterpreted functions
generalise unknown behaviour beyond logical parameters
Fully featured interactive editor with static analysis
Long-term behaviour exploration through bifurcation decision trees

- Adjustable precision
- Wide range of decision attributes
- Stability analysis
Case Studies
T-cell Survival Network


- Demonstrates association between qualitative attractor types and biological phenotypes.
- Explains previously observed non-viable diseased phenotype in the absence of PDGF.
- Proposes mechanisms driving proliferation of diseased cells.
Butanol Production Pathway


- Out of 13 parameters, only two have qualitative impact on the network.
- Network has three inconsistencies: functions conflicting with the interaction graph.
- The problematic functions do not have qualitative impact. However...
- Correcting spo0A+p eliminates previously observed unrealistic behaviour.
- spoIIAB does not impact pathway products, but the overall size of the attractors.
- glucose+PTS is largely inconsequential.
Type-1 Interferon Signalling

- Model has 3 drugs (plus 50 other parameters) and 3 (independent) phenotype outputs.
- One of the phenotype outputs is never expressed.
- Qualitative behaviour (types of attractors) has no apparent relationship with the actual phenotypes.
- We can still characterise the two phenotypes based on parameters using a decision tree.
- Azithromycin enforces immune response (IIR).
- MNS reduces inflammation in the presence of virus.
- GRL0617 has no tangible effect.

- A possibly new way of understanding long-term bifurcations in non-deterministic discrete systems, not bound to the continuous paradigm.
- A toolbox of symbolic algorithms enabling this type of analysis for large-scale systems.
- Tool AEON for analysis of real-world Boolean networks with missing or partial knowledge.
- Demonstrated applications on existing real-world networks, from attractor classification to phenotype characterisation and network repair.
Summary
Directed homotopy for concurrent systems

- Directed homotopy provides "spatial intuition" for discrete systems that originally do not have one.
- Our goal is to find a theory that is applicable to systems without requiring such "spatial intuition".
BDD Memoization
- Memoization across individual BDD nodes (accross different BDDs) improves memory usage at the cost of time and ease of use (in our experience).
- Iterative algorithms require frequent garbage collection:
- For example, during reachability, half of the BDD nodes are irrelevant after 2-3 steps.
- Irrelevant nodes increase the risk of hash collisions and take up valuable cache space.
- It is much faster to create/delete BDD nodes in bulk than individually.
- Without memoization, it is easier to share BDDs across threads or serialized over network.
Generality of optimizations
- The evaluation is performed on Boolean networks, but the algorithms can be applied to any (asynchronous) system with symbolic encoding (e.g. bounded Petri net, concurrent automata networks, etc.).
- More thorough evaluation would be needed to test how well the theory translates into practice though.
Gap between Part I and Part II
- Part I is intentionally very "diverse" in terms of supported systems, whereas in Part II, the scope is much more narrow.
- Strong practical result was preferred to a more general but less scalable method.
What is lost in the abstraction of bifurcation analysis?
- In short: everything.
- As noted, discrete model is not necessarily a mere abstraction of a "more precise" continuous model.
- Different modelling assumptions may prefer the discrete paradigm.
- Continuous bifurcation theory is "trivial" for discrete systems with no topology.
- Digital bifurcation theory is "trivial" for continuous dynamical systems with no branching.
- That is, the approaches are to a large extent orthogonal, just as the modelling techniques.
Thesis Defence
By Samuel Pastva
Thesis Defence
- 175