"Open Source Implementations of Electromagnetic Transient Algorithms "
Hanneli C. A. Tavante - UNIFEI
Prof. Benedito D. Bonatto - UNIFEI
Prof. Maurilio P. Coutinho - UNIFEI

INDUSCON 2018 - November 12th - 14th - São Paulo


DISCLAIMER
More about programming than electromagnetic transients

INDUSCON 2018 - November 12th - 14th - São Paulo

"Open Source Implementations of Electromagnetic Transient Algorithms "
Agenda
- 1 min theory: Electromagnetic transients
- Developing good software
- THTA
- PyTHTA
- Future works

INDUSCON 2018 - November 12th - 14th - São Paulo

"Open Source Implementations of Electromagnetic Transient Algorithms "
Electromagnetic Transients

INDUSCON 2018 - November 12th - 14th - São Paulo

H. Dommel


"Open Source Implementations of Electromagnetic Transient Algorithms "
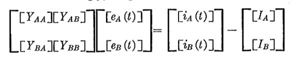
Matrix equations to represent electromagnetic transients
Electromagnetic Transients

INDUSCON 2018 - November 12th - 14th - São Paulo

H. Dommel

"Open Source Implementations of Electromagnetic Transient Algorithms "

ATP
EMTP
Well-known programs:
Closed source; written in Fortran, C++
Let's talk about software

INDUSCON 2018 - November 12th - 14th - São Paulo

"Open Source Implementations of Electromagnetic Transient Algorithms "
good
Good software
- Easy to maintain
- Easy to add features
- Easy to fix bugs
- Stable environment
- Easy to set up

INDUSCON 2018 - November 12th - 14th - São Paulo

"Open Source Implementations of Electromagnetic Transient Algorithms "
- => Programming language
- => Access to the code
THTA
Dommel's algorithm + Matlab/Octave + Open Source => High chances to become a good software!

INDUSCON 2018 - November 12th - 14th - São Paulo

"Open Source Implementations of Electromagnetic Transient Algorithms "
Python
- Very popular in science and engineering
- Easy to use and prototype
- Lots of libraries
- Open Source

INDUSCON 2018 - November 12th - 14th - São Paulo

"Open Source Implementations of Electromagnetic Transient Algorithms "
- => Programming language easy to maintain
- => Access to the code
Open source software has a good chance to become good software

INDUSCON 2018 - November 12th - 14th - São Paulo

"Open Source Implementations of Electromagnetic Transient Algorithms "
PyTHTA
Python + THTA + Open Source => High chances to become a good software!
Work in progress

INDUSCON 2018 - November 12th - 14th - São Paulo

"Open Source Implementations of Electromagnetic Transient Algorithms "
PyTHTA Stages
- Replicate the basic THTA features
- Organise the code
- Plot charts
- Replicate advanced THTA features
- Create a full library

INDUSCON 2018 - November 12th - 14th - São Paulo

"Open Source Implementations of Electromagnetic Transient Algorithms "
PyTHTA Stages
- Replicate the basic THTA features
- Organise the code (Under development)
- Plot charts
- Replicate advanced THTA features
- Create a full library

INDUSCON 2018 - November 12th - 14th - São Paulo

"Open Source Implementations of Electromagnetic Transient Algorithms "
PyTHTA Stages
- Replicate the basic THTA features
The libraries
import pandas as pd
import numpy as np
import matplotlib.pyplot as plt

INDUSCON 2018 - November 12th - 14th - São Paulo

"Open Source Implementations of Electromagnetic Transient Algorithms "
PyTHTA Stages
- Replicate the basic THTA features
Importing the file
self.df = pd.read_csv('test.csv', header=None)
For this initial step, we shall use the .csv format

INDUSCON 2018 - November 12th - 14th - São Paulo

"Open Source Implementations of Electromagnetic Transient Algorithms "
PyTHTA Stages
- Replicate the basic THTA features
Calculate the condutance and map elements
for index, row in self.elements.iterrows():
if row[0] == 'R':
resistor = Resistor(row[3])
self.gkm[index-1] = 1/resistor.value
self.nh = self.nh + 1
elif row[0] == 'C':
capacitor = Capacitor((row[3]*1e-6))
self.gkm[index-1] = 2*capacitor.value/self.dt
self.nh = self.nh + 1
elif row[0] == 'L':
inductor = Inductor((row[3]*1e-3))
self.gkm[index-1] = self.dt/(2*inductor.value)
elif row[0] == 'EDC':
self.ndcvs = self.ndcvs + 1

INDUSCON 2018 - November 12th - 14th - São Paulo

"Open Source Implementations of Electromagnetic Transient Algorithms "
PyTHTA Stages
- Replicate the basic THTA features
Build the G matrix
self.g_matrix = np.zeros((self.elements.shape[0], self.elements.shape[0]))
for index, row in self.elements.iterrows():
k = row[1]
m = row[2]
if m == 0:
self.g_matrix[k,k] = self.g_matrix[k,k] + self.gkm[index-1]
elif k == 0:
self.g_matrix[m,m] = self.g_matrix[m,m] + self.gkm[index-1]
else:
self.g_matrix[k,k] = self.g_matrix[k,k] + self.gkm[index-1]
self.g_matrix[m,m] = self.g_matrix[m,m] + self.gkm[index-1]
self.g_matrix[k,m] = self.g_matrix[k,m] + self.gkm[index-1]
self.g_matrix[m,k] = self.g_matrix[m,k] + self.gkm[index-1]

INDUSCON 2018 - November 12th - 14th - São Paulo

"Open Source Implementations of Electromagnetic Transient Algorithms "
PyTHTA Stages
- Replicate the basic THTA features
Build the GAA and GAB matrices
d = self.nodes_qty - self.sources_qty
self.gaa = self.g_matrix[0:d, 0:d]
self.gab = self.g_matrix[0:d, d:self.nodes_qty]
self.gba = self.g_matrix[d:self.nodes_qty, 0:d]
self.gbb = self.g_matrix[d:self.nodes_qty, d:self.nodes_qty]

INDUSCON 2018 - November 12th - 14th - São Paulo

"Open Source Implementations of Electromagnetic Transient Algorithms "
PyTHTA Stages
- Replicate the basic THTA features
Simulation (see resolver.py)

INDUSCON 2018 - November 12th - 14th - São Paulo

"Open Source Implementations of Electromagnetic Transient Algorithms "

Example
CSV
T,2,1,100E-6,50E-6,0,0,0,0,0
EDC,2,0,10,0,0,0,0,0,0
R,2,1,4,0,0,0,0,0,2
C,1,0,7,0,0,0,0,0,2
R,1,0,6,0,0,0,0,0,2
NV,1,2,0,0,0,0,0,0,0

INDUSCON 2018 - November 12th - 14th - São Paulo

"Open Source Implementations of Electromagnetic Transient Algorithms "

Image created on CircuitLab
G matrix


INDUSCON 2018 - November 12th - 14th - São Paulo

"Open Source Implementations of Electromagnetic Transient Algorithms "
IA, IB, I


INDUSCON 2018 - November 12th - 14th - São Paulo

"Open Source Implementations of Electromagnetic Transient Algorithms "
VA, VB, V


INDUSCON 2018 - November 12th - 14th - São Paulo

"Open Source Implementations of Electromagnetic Transient Algorithms "
What is not (yet) included in this version
- Switches, non linear elements, current sources
- Charts
- Edge cases
- Automated Tests

INDUSCON 2018 - November 12th - 14th - São Paulo

"Open Source Implementations of Electromagnetic Transient Algorithms "
PyTHTA Stages
- Replicate the basic THTA features
- Organise the code (Under development)
Classes and object oriented programming (work in progress)


INDUSCON 2018 - November 12th - 14th - São Paulo

"Open Source Implementations of Electromagnetic Transient Algorithms "
Future work
Different languages and paradigms
3-Phase simulations

INDUSCON 2018 - November 12th - 14th - São Paulo

"Open Source Implementations of Electromagnetic Transient Algorithms "

INDUSCON 2018 - November 12th - 14th - São Paulo

"Open Source Implementations of Electromagnetic Transient Algorithms "

Thanks!
The authors acknowledge the support from CNPq, INERGE, CAPES, FAPEMIG and UNIFEI.
Questions?
hannelita@gmail.com

INDUSCON 2018 - November 12th - 14th - São Paulo

"Open Source Implementations of Electromagnetic Transient Algorithms "
Induscon - PyTHTA
By Hanneli Tavante (hannelita)
Induscon - PyTHTA
- 1,707