Michael Küffmeier

The interplay of multiplicity and infall
C. Granzow Holm (GLOBE), T. Haugbølle (NBI), J. Pineda (MPE), D. Segura-Cox (Rochester)
DFF Sapere Aude group leader




Michael Küffmeier
C. Granzow Holm (GLOBE), T. Haugbølle (NBI), J. Pineda (MPE), D. Segura-Cox (Rochester)
The interplay of
multiplicity and infall



DFF Sapere Aude group leader
Michael Küffmeier



C. Granzow Holm (GLOBE), T. Haugbølle (NBI), J. Pineda (MPE), D. Segura-Cox (Rochester)

DFF Sapere Aude group leader
The interplay of
multiplicity and infall
The classical picture
credit: M. Persson
star formation
planet formation
Problems
No multiplicity
No infall
Is this the full picture?

History of modeling disk formation
spherical core collapse:
rotation
magnetization (mass-to-flux ratio)
non-ideal MHD effects
dust evolution
turbulence
useful for parameter studies
Bonnor-Ebert sphere
or uniform density
Sequence of star, disk & planet formation
Illustration: Segura-Cox (published in Pineda et al. 2023)
.
.

better, but let's keep in mind:
star formation is a dynamical process happening in turbulent molecular clouds
Revisiting star-disk formation from a Giant Molecular Cloud perspective
Zoom-in simulations
Christian G. Holm


Pro: self-consistent initial and boundary conditions for star formation
Con: computationally more expensive, more difficult analysis
Zoom-in on embedded multiples

Küffmeier et al.
2019
Küffmeier et al. 2018

Küffmeier, Reißl et al. 2020
bridge structure similar to IRAS 16293--2422 (e.g. Sadavoy+ 2018, van der Wiel+ 2019, Maureira+ 2020)
~1500 AU

for a similar concept, see also Lebreuilly et al. 2024, Yang & Federrath 2025
Formation of embedded protostellar multiple

Küffmeier et al. 2019
Jacobsen et al. 2019
IRAS 16293-2422
636 au

Zoom-in simulation
Transient "bridge"-structures* (τ~10 kyr) are a common by-product of turbulent fragmentation
*Could be easily classified as "streamer" during "bridge" dispersal because material accretes towards the companion with highest gravitational potential
Formation of embedded protostellar multiple
Küffmeier+ 2019




Küffmeier+ 2019
Lee, Offner+ 2019

Dong+ '22
credit to simulation: Cuello
Is Z CMa a by-product of multiplicity formation, stellar flyby or something else?

Transient "bridge"-structures (τ~10 kyr) are common
Formation of embedded protostellar multiple

Close binaries can form wide


(for statistical analysis of binary formation see Kuruwita & Haugbølle '23; for comprehensive overview of formation pathways see talk by K. Kratter )
Periodic episodic accretion

Possible explanation for wobbly, perpendicular jets in NGC1333-IRAS2A VLA1/2 (Jørgensen+ '22)
Küffmeier+ '19

What fraction of close binaries formed wide?

recall also talk by A. Vigna Gomez and see talk by E. Bordier
Formation of embedded protostellar multiple
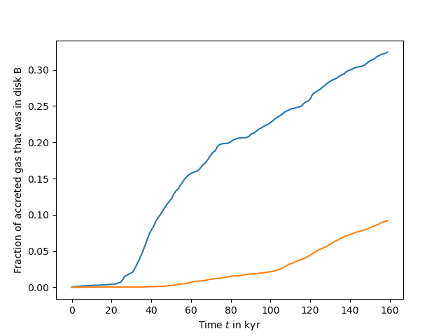
Multiples can share accretion reservoir
Küffmeier+ '19

The colored dots show the location of gas accreting onto primary (black), secondary (cyan) and tertiary (red) at t=20 kyr after primary formation.
Shared mass reservoir of binary
zoom-in: max. resolution 3 AU; barotropic eq. of state; ideal MHD (simulations by T. Haugbølle)
1000 au
Accreting from companion's disk
Caveat: zoom-in with only maximum resolution of 3 AU; barotropic equation of state; ideal MHD (more to be done, but intriguing)

about 30 % of accreting mass goes through the star's own disk
almost 10 % of accreting mass of companion goes through the primary star's disk
preliminary

Credit: ALMA (ESO/NAOJ/NRAO)



Ginski et al. 2021
Yen et al. 2019
Garufi et al. 2021
Pineda et al. 2020
50 au
BHB1 (Alves et al. 2020), GM Aur (Huang et al. 2021), IRS 63 (Segura-Cox in prep.), AB Aur (Grady et al. 1999 / Fukagawa et al. 2004), M512 Grant et al. 2021, Gupta et al. 2024, Cacciapuoti et al. 2024) ...

Per-emb-50
Valdivia-Mena et al. 2022
Science question:
Can we get better (statistical) constraints on the relevance and importance of (late) infall from existing simulation data?
Streamers:
Model star formation in a Molecular Cloud
isothermal magnetohydrodynamical (MHD) with driven turbulence
adaptive mesh refinement (AMR) simulations with RAMSES
maximum resolution: ≈25 au (level of refinement: 15), root grid about ≈1600 au (level 9)
3000 solar masses; periodic boundary conditions; 321 sinks forming within 2 Myr
simulation setup including detailed description of sink recipe presented in Haugbølle+2018
image based on Küffmeier, Jensen & Haugbølle '23

Late infall is common for stars
On average, even solar mass stars gain ~50 % of their final mass through accretion of initially unbound material
Note that some protostars still accrete after 1.2 Myr
Küffmeier, Jensen & Haugbølle '23

(Pelkonen et al. 2021)
Origin of accreting gas
Two phase process:
Initial collapse followed by varying amount of post-collapse infall
(see also Pelkonen+ 2021)


Küffmeier, Jensen & Haugbølle '23
Origin of accreting gas
"In the case of the more massive stars, accretion from the environment outside the original core volume is even more important than that from the core itself. [...]
The assumption of spherical symmetry cannot be applied to the majority of collapsing cores, and is never a good description of how stars accrete gas from outside the original core radius."
(Smith, Glover, Bonnell, Clark & Klessen 2011)
model for massive star formation: inertial-inflow model (Padoan+ '20)
Infall & multiplicity scale with stellar mass
based on Pelkonen+ '21


Offner+ '23
What is the connection?

(see talks by D. Taylor, T. M. Valdivia Mena, D. Price, C. Gieser, J. Pineda)
Implications of (late) infall



YSOs can appear younger than they really are
How old is the protostar?



Küffmeier, Jensen & Haugbølle '23

Class I
Class 0
Class II
see also talk by R. Al Belmpeisi and V. Tuhtan
Spreading vs wind-driven?
Manara et al. 2023
Caveat!
Infall matters. Disks can easily be wind-driven and yet grow in size through infall of gas with high angular momentum.


Long et al. 2022
?
Angular momentum budget
- Large scatter of ang. mom.
- Increasing specific angular momentum for increasing final stellar mass
Specific angular momentum computed from all accreting tracer particles at the first snapshot after star formation
- subtle correlation with mass (inherited by disks??)
"We find marginal relationships between disk sizes and M*." (Long+ 2022)

Küffmeier, Jensen & Haugbølle '23

Long et al. 2022
see also Padon+ '05 & '25 and Winter+ '24 for analyses/discussions of Bondi-Hoyle(-Lyttleton) accretion

Padoan+ '25
Do we really know disk "lifetimes"?

Polnitzky et al. 2024 in prep
Does disk fraction reflect occurrence of infall events instead of disk age?

see also talk by D. Price on multiplicity and why the static disk framework is wrong in interpreting planet formation
On average, stars with increasing final mass undergo prolonged infall
Orientation of star-disk systems can change substantially


Orientation of infall
Küffmeier, Pineda, Segura-Cox & Haugbølle 2024
Streamers (and shadows) as signs of infall
Formation of misaligned configuration
Observable as shadows in outer disk
Küffmeier, Dullemond, Reissl & Goicovic 2021

SU Aur (Ginski et al. 2021)
300 au

Krieger, Küffmeier et al. 2024

Misaligned disks can also be induced by companions (see talks by I. Rabago, J. Smallwood).
Is there a predominant mechanism causing misalignment?
Orientation of infall




...
A disk contains only 1% of the stellar mass:
"Easy" to replenish with post-collapse (late) misaligned infall.
Turbulence matters from cloud to core (Padoan+ '97/'20, Klessen '01, Padoan & Nordlund '02, Hennebelle & Chabrier '08), down to binary (Offner+ '10) and disk scales (Küffmeier+ '17)
It implies misaligned infall (Küffmeier+ '24, Pelkonen+ '25), i.e., "chaotic star formation" (Bate '10)
and primordial misaligned disks (Thies+ '11, Bate '18, Küffmeier+ '21)
State-of-the-art in theory of star formation
How important is multiplicity in ejecting run-away stars?


How to quantify anisotropy of accretion?
FA = 0: perfectly isotropic accretion
FA = 1: maximally anisotropic accretion
Fractional anisotropy based on tracer particles
Post-collapse infall is more anisotropic than initial collapse
Post-collapse accretion phase resembles Bondi-Hoyle(-Lyttleton) accretion

Küffmeier, Pineda, Segura-Cox & Haugbølle 2024
Post-collapse infall is more anisotropic than initial collapse
Anisotropic accretion

FA = 0: perfectly isotropic accretion
FA = 1: maximum anisotropic accretion

Küffmeier, Haugbølle, Pineda & Segura-Cox 2024
Late infall is more anisotropic than early collapse

Fractional anisotropy (FA) serves as a good measure for the (an-)isotropy of accretion.
FA=0: perfectly isotropic accretion, FA=1: maximally anisotropic

FA can also be a useful measure to compare (an)isotropy of stellar spins in clusters
Summary
Disks are replenished, distorted or destroyed by misaligned infall.
Both multiplicity and infall are results (and probes) of underlying turbulent dynamics in molecular clouds.
Star formation is a two-phase process consisting of a mandatory initial collapse and post-collapse infall phase.


Protostellar multiples ...
- ... show transient "bridge"-structures.
- ... often form wide and migrate,
- ... share an accretion reservoir.
Open questions and preliminary results
How does (early) infall shape disk formation?
Christian G. Holm


Zoom-in simulation, ~1 au resolution in disk, barotropic equation of state
Zooming in on late phase




preliminary work
Trails of gas: signs of Bondi-Hoyle-Lyttleton accretion or photoevaporative wind?

Haworth et al. '25


Bondi-Hoyle(-Lyttleton) accretion (Padoan+ '25, Winter+ '24, Küffmeier '24)
preliminary work
Upcoming work for DSTREAM
...solely replenishes the disk,
I
...plays an active role in triggering instabilities,
II
...induces dramatic changes such as misalignment.
III
DSTREAM will explore frequency and properties of infall onto star-disk systems that ...



images: A. Houge
Simulations: Holm, Haugbølle
Visualizations: Berlok
Multiplicity talk
By kuffmeier
Multiplicity talk
- 168