Autonomous Vehicles
Implications and predictions through
simulation
Sebastian Hörl
IDEA League Presentation
ETH Zürich, IVT
13 April 2018
Transport Simulation


https://pixabay.com/en/traffic-jam-stop-and-go-rush-hour-143391
Senozon VIA
Home
Work
Shopping
Home
until 8:30
9:00 - 18:00
18:15 - 18:30
from 18:15
Walk
Walk
Public Transport
Agent-based transport simulation
MATSim

Scenario
Network simulation
Scoring of the plans
Selection and Mutation
Agent-based transport simulation
MATSim

Background Map: OpenStreetMap Visualization: Senozon VIA Moritz Hohenfellner (2017)
Access to
Mobility
Effective
Capacities
Costs
vs
Individualization
Empty distance
Travels
Net effect?
Self-driving vehicles
Systemic effects
Self-driving vehicles
Accessibility


Implications?
Refuel / Recharge / Maintenance
Parking / Pick-up / Drop-off


https://www.flickr.com/photos/viriyincy/4528290409
https://commons.wikimedia.org/wiki/File:Zeichen_365-65_-_Ladestation_f%C3%BCr_Elektrofahrzeuge,_StVO_2014.svg
Self-driving vehicles
Constraints
AV Simulation
Taxis
Pick up customer
Drive to destination
Drop off customer
Drive to customer
Stay
AV Simulation
Taxis
Pick up customer
Drive to destination
Drop off customer
Drive to customer
Rebalancing
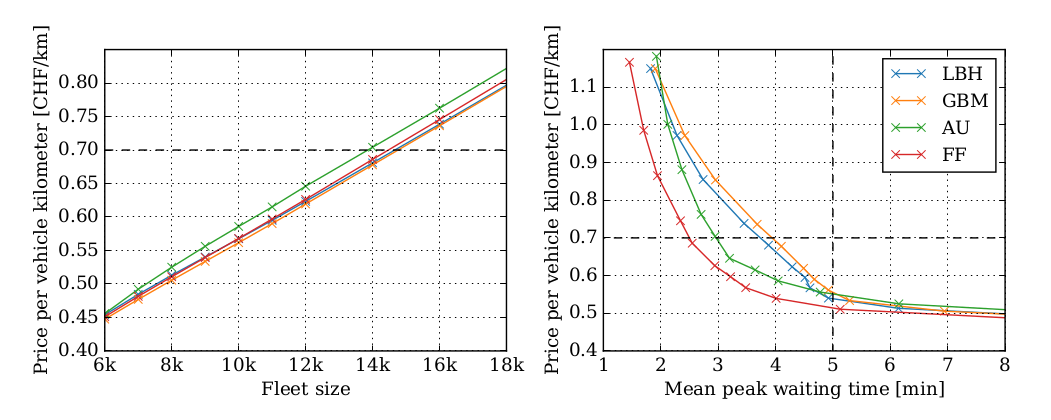
AVs in Zurich
Rebalancing

AVs in Zurich
Rebalancing

AVs in Zurich
Rebalancing

AVs in Zurich
Rebalancing


Thanks!
Questions?
IDEA League AV
By Sebastian Hörl
IDEA League AV
13 April 2018, ETH Zurich
- 984