Gaussian Process Parameterised Covariance Kernels for Non-stationary Regression

Vidhi Lalchand\(^{1}\), Talay Cheema\(^{1}\), Laurence Aitchison\(^{2}\), Carl E. Rasmussen\(^{1}\)

Motivation: Non-Stationary Kernels

Learning a non-stationary kernel (1d)

Reconstructing a 2d non-stationary surface 

A large cross-section of Gaussian process literature uses universal kernels like the squared exponential (SE) kernel along with automatic revelance determination (ARD) in high-dimensions. The ARD framework in covariance kernels operates by pruning away extraneous dimensions through contracting their inverse-lengthscales. This works considers probabilistic inference in the factorised Gibbs kernel  and the multivariate Gibbs kernel with input-dependent lengthscales. These kernels allow for non-stationary modelling where samples from the posterior function space ``adapt" to the varying smoothness structure inherent in the ground truth. We propose parameterizing the lengthscale function of the factorised and multivariate Gibbs covariance function with a latent Gaussian process defined on the same inputs.

We use MAP inference with a GP prior over the lengthscale process to recover the ground truth kernel (left) with radomly distributed training data points. 

\displaystyle\prod_{d=1}^{D}\sqrt{\dfrac{2\ell_{d}(\bm{x}_{i})\ell_{d}(\bm{x}_{j})}{\ell_{d}^{2}(\bm{x}_{i}) + \ell_{d}^{2}(\bm{x}_{j})}}\exp \left\{ - \sum_{d=1}^{D} \dfrac{(x_{i}^{(d)} - x_{j}^{(d)})^{2}}{\ell_{d}^{2}(\bm{x}_{i}) + \ell_{d}^{2}(\bm{x}_{j})}\right \}

Modelling Precipitation Across Continental United States 

Approximate posterior predictive means for the 2d surface using 250 inducing points. The factorised Gibbs kernel (FGK) adapts to the lower length-scale behaviour in the central areas while the standard SE-ARD kernel is forced to subscribe to a single lengthscale.

University of Cambridge\(^{1}\), University of Bristol\(^{2}\)

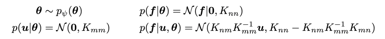
The hierarchical GP framework is given by,

where \(K_{mm}\) denotes the covariance matrix computed using the same kernel function \(k_{\theta}\) on inducing locations \(Z\) as inputs; the likelihood factorises across data points, \(p(\bm{y}|\bm{f}) = \prod_{i=1}^{N}p(y_{i}|f_{i}) = \mathcal{N}(\bm{y}|\bm{f}, \sigma_{n}^{2}\mathbb{I})\) and \(\psi\) denote parameters of the hyperprior. The joint model is given by, \(p(\bm{y},\bm{f},\bm{u},\bm{\theta}) = p(\bm{y}|\bm{f})p(\bm{f}|\bm{u},\bm{\theta})p(\bm{u}|\bm{\theta})p(\bm{\theta}) \).

The standard marginal likelihood \(p(\bm{y}) = \int p(\bm{y}|\bm{\theta})p(\bm{\theta})d\bm{\theta}\) is intractable. The inner term \(p(\bm{y}|\bm{\theta})\) is the canonical marginal likelihood \(\mathcal{N}(\bm{y}|\bm{0}, K + \sigma^{2}_{n}\mathbb{I})\) in the exact GP case and is approximated by a closed-form evidence lower bound (ELBO) in the sparse GP case for a Gaussian likelihood.  The sparse variational objective in the extended model augments the ELBO with an additional term to account for the prior over hyperparameters, \(\log p(\bm{y}, \bm{\theta}) \geq  \mathcal{L}_{sgp} + \log p_{\psi}(\bm{\theta})\).

\log(\ell_{d}) \sim \mathcal{N}(\mu_{\ell}, K_{\ell})

Gibbs Poster

By Vidhi Lalchand

Gibbs Poster

  • 98