Alerta Temprana de anomalías de Precios de Alimentos

Amaury Gutiérrez - Roberto Sanchez

ITAM Diciembre 2016

Informe de pobreza en México 2012

28 millones de personas en algún nivel de inseguridad alimentaria

Análisis de Mercado

  • Predicción de Producción Agrícola
  • Predicción variación de Precios

Datos

  • Sistema Nacional de Información e Integración de Mercados (Centrales de Abasto)- SECRETARÍA DE ECONOMÍA
  • Precio Internacional de Futuros de Maíz - indexmundi
  • Tipo de cambio promedio del periodo    - BANXICO

 

Mensual (2001-2016)

Correlación Internacional-Nacional

Objetivo

IPA (Indicator of price anomalies)

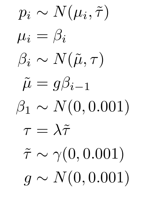
Tendencia de segundo orden con componente estacional

RMSE: 0.114

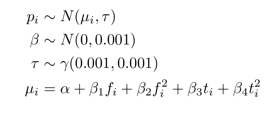
Modelo A: Estático con Covariables

Modelo A: Estático con Covariables

RMSE: 0.3103

Modelo B: Dinámico sin Covariables

Modelo B: Dinámico sin Covariables

RMSE: 0.099

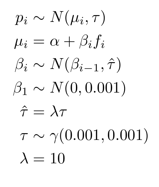
Modelo C: Dinámico con Covariables

Modelo C: Dinámico con Covariables

RMSE: 0.118

Comparación de Modelos

IPA (Indicator of price anomalies)

Alerta Temprana

By Amaury Gutiérrez

Alerta Temprana

  • 364