Cosmological constraints from the galaxy power spectrum with the Dark Energy Spectroscopic Instrument (DESI)

Cosmology Talks
Pauline Zarrouk (CNRS/LPNHE)
Hector Gil-Marin (ICCUB)
Arnaud de Mattia (CEA Paris-Saclay)
On behalf of the DESI collaboration

DESI constraints on gravity
prediction from general relativity
growth rate of structure
\(\Rightarrow\) Similar precision on \(f\sigma_8\) at \(z < 1.5\) between
DESI DR1 (1 year of observations) and SDSS (20 years of observations)


DESI constraints on gravity

general relativity is here

Galaxy Full Shape in a nutshell



observed redshift = Hubble flow
and peculiar velocities (RSD = "redshift space distortions")


Galaxy Full Shape in a nutshell
Modelling of the full-shape of the galaxy power spectrum enables to:
- probe the growth of structures \(f\sigma_8\)
- test the theory of gravity and dark energy
- constrain the sum of neutrino masses





observed redshift = Hubble flow
and peculiar velocities (RSD = "redshift space distortions")

RSD

Growth of cosmic structure
Through gravity
Credit: Claire Lamman and Michael Rashkovetskyi / DESI collaboration

The new DESI analysis in details


Thanks to our sponsors and
72 Participating Institutions!


The DESI instrument
Credit: NSF

DESI: a stage IV survey

10 years = \(10 \times \)

DESI Y5 galaxy samples

Bright Galaxies: 14M (SDSS: 600k)
0 < z < 0.4
LRG: 8M (SDSS: 1M)
0.4 < z < 0.8
ELG: 16M (SDSS: 200k)
0.6 < z < 1.6
QSO: 3M (SDSS: 500k)
Lya \(1.8 < z\)
Tracers \(0.8 < z < 2.1\)
Y5 \(\sim 40\)M galaxy redshifts!
\(z = 0.4\)
\(z = 0.8\)
\(z = 0\)
\(z = 1.6\)
\(z = 2.0\)
\(z = 3.0\)

DESI data release 1 (DR1)
Observations from May 14th 2021 to June 12th 2022

Final survey (5 years)
- dark time (LRG, ELG, QSO): 7 layers
- bright time (BGS): 5 layers
- 14,000 \(\mathrm{deg}^2\)


DESI data release 1 (DR1)
Observations from May 14th 2021 to June 12th 2022


5.7 million unique redshifts at z < 2.1 and > 420,000 Ly\(\alpha\) QSO at z > 2.1
used for BAO and Full Shape
used for BAO

Release of DESI DR1 (BAO) results
April 4th 2024
Previously...

Release of DESI DR1 (BAO) results
April 4th 2024
Previously...
BAO-only
\(\Lambda\)CDM is here

Release of DESI DR1 (FS) results
November 19th 2024
• DESI 2024 I: First year data release
• DESI 2024 II: Sample definitions and two-point clustering statistics
• DESI 2024 III: BAO from Galaxies and Quasars
• DESI 2024 IV: BAO from the Lyman-Forest
• DESI 2024 V: Full Shape measurements from Galaxies and Quasars
• DESI 2024 VI: Cosmological constraints from BAO measurements
• DESI 2024 VII: Cosmological constraints from Full Shape measurements
Ashley Ross
Cheng Zhao
Rongpu Zhou
Hector Gil-Marin
Pauline Zarrouk
Dragan Huterer
Mustapha Ishak
Eva Mueller
KP leads
Second batch of DESI DR1 cosmological analyses
https://data.desi.lbl.gov/doc/papers/

Extract cosmological constraints from the galaxy power spectrum


galaxy 3D map
galaxy power spectrum
cosmological model constraints (\(\Lambda\)CDM)

BAO
Full Shape
Joint

Extract cosmological constraints from the galaxy power spectrum


galaxy 3D map
galaxy power spectrum
cosmological model constraints (\(\Lambda\)CDM)
Full-Modelling
(direct fitting approach)

BAO
Full Shape
Joint

Extract cosmological constraints from the galaxy power spectrum


galaxy 3D map
galaxy power spectrum

Extract cosmological constraints from the galaxy power spectrum


galaxy 3D map
galaxy power spectrum
cosmological model constraints (\(\Lambda\)CDM)

BAO
Full Shape
Joint


Extract cosmological constraints from the galaxy power spectrum


galaxy 3D map
galaxy power spectrum

ShapeFit
(compressed approach)


Comparison of both approaches


Modelling the galaxy power spectrum
Three power spectrum Effective Field Theory models considered:
- velocileptors Maus et al. 2024
- folps Noriega et al. 2024
- pybird Lai et al. 2024

credit: Mark Maus, Hernan Noriega, Yan Lai
One comparison paper:
One configuration-space model:
- EFT-GSM Ramirez et al. 2024

Modelling the galaxy power spectrum
The Effective Field Theory in a nutshell
- model for the multipoles of the power spectrum
- perturbation theory model + counter-terms and stochastic terms
- for the baseline analysis (monopole & quadrupole): 3 galaxy bias parameters, 2 counter-terms, 2 stochastic parameters
- dependence on cosmology into \(P_\mathrm{lin}\), \(f\) and Alcock-Paczynski parameters
perturbation theory term
linear and quasi-linear physics
counter-terms contribution
truncation of perturbative series
stochastic-terms contribution
small-scale galaxy physics

Blind analysis
-
DESI represents the first galaxy redshift survey data that has been analyzed in a catalogue-based blinded way
-
Allow us to mitigate confirmation bias
1. geometrical AP-like shift
2. density-dependent RSD-like shift

Density-dependent shift
Imprints a new RSD shift
Same as the BAO blinding
Changes the z-to-distance conversion








Projection effects
2 types of projection effects:
-
prior volume effect when data not constraining enough for the parameter space
mean and 95% of the marginalised posterior \(\neq\) maximum of the posterior (MAP)


Projection effects
2 types of projection effects:
-
prior volume effect when data not constraining enough for the parameter space
-
prior weight effect when the prior on a parameter differs from the true value of the data
\(\Rightarrow\) Difference in MAP values (crosses) between uninformative flat priors and physically-motivated Gaussian priors: prior weight effect


Systematic effects
Study of several potential sources of systematic effects using realistic simulations:
-
Theoretical modelling (Maus et al. 2024ab, Lai et al. 2024, Noriega et al. 2024, Ramirez et al. 2024)
-
Galaxy-halo connection (Findlay et al. 2024)
-
Fiducial cosmology (Gsponer et al. 2024)
-
Fibre assignment (Pinon et al. 2024)
-
Inhomogeneities in the target selection (Zhao et al. 2024)
-
Spectroscopic redshift failures/uncertainties (Yu et al. 2024, Krowleski et al. 2024)
-
Covariance matrix: mock-based vs analytic (Forero-Sanchez et al. 2024, Alves et al. 2024, Rashkovetskyi et al. 2024)

Galaxy-halo connection
How well do theoretical models capture galaxy clustering under different assumptions about galaxy formation?

dark matter halo
satellite galaxy
central galaxy

Galaxy-halo connection
How well do theoretical models capture galaxy clustering under different assumptions about galaxy formation?


dark matter halo
satellite galaxy
central galaxy
Findlay et al. 2024

Galaxy-halo connection
How well do theoretical models capture galaxy clustering under different assumptions about galaxy formation?

Findlay et al. 2024

Fiber assignment
Groups of galaxies too close to each other cannot all receive a fiber
\(0.05^\circ \simeq\) positioner patrol diameter



Fiber assignment
Impacts power spectrum measurements (altMTL vs complete)
Solution: \(\theta\)-cut = remove all pairs \(< 0.05^\circ\), new window matrix


Systematic effects
Study of several potential sources of systematic effects using realistic simulations:
-
Theoretical modelling (Maus et al. 2024ab, Lai et al. 2024, Noriega et al. 2024, Ramirez et al. 2024)
-
Galaxy-halo connection (Findlay et al. 2024)
-
Fiducial cosmology (Gsponer et al. 2024)
-
Fibre assignment (Pinon et al. 2024)
-
Inhomogeneities in the target selection (Zhao et al. 2024)
-
Spectroscopic redshift failures/uncertainties (Yu et al. 2024, Krowleski et al. 2024)
-
Covariance matrix: mock-based vs analytic (Forero-Sanchez et al. 2024, Alves et al. 2024, Rashkovetskyi et al. 2024)
Total systematic error = ⅖ of DR1 statistical error

Full Shape pipeline - summary
-
Observable: power spectrum monopole and quadrupole
-
Model: Effective Field Theory
-
Covariance: mock-based
-
Fitting range: \(0.02 < k\, [h/\mathrm{Mpc}] < 0.2\)
-
Fitting parameters:
-
5 \(\Lambda\)CDM parameters (FM)
-
4 compressed parameters (SF)
-
7 non-cosmological parameters
-


Full Shape pipeline - summary
-
Observable: power spectrum monopole and quadrupole
-
Model: Effective Field Theory
-
Covariance: mock-based
-
Fitting range: \(0.02 < k\, [h/\mathrm{Mpc}] < 0.2\)
-
Fitting parameters:
-
5 \(\Lambda\)CDM parameters (FM)
-
4 compressed parameters (SF)
-
7 non-cosmological parameters
-
-
Systematic error: at the data vector level





Full Shape pipeline: what's new!
- Biggest ever spectroscopic dataset (\(N_\mathrm{tracer}\) and \(V\))
- Blind analysis to mitigate observer / confirmation biases (catalogue-level blinding)
- Effective Field Theory models
- Full-Modelling (\(\Omega_\mathrm{cosmo}\)) and updated compression approach (ShapeFit)
- Improvements in the treatment of observational systematics (e.g. fiber assignment)
- Unified Full Shape pipeline applied to all (discrete) tracer / redshift bins consistently
(compared to SDSS)

The cosmological measurements!

Full Shape + BAO measurements
\(\Omega_\mathrm{b} h^2\): BBN from Schöneberg 2024
\(n_\mathrm{s} \sim \mathcal{G}(0.9649, 0.042^2)\): "\(n_{\mathrm{s}10}\)"*



*\(10\times\) wider than Planck posterior




\(\Omega_\mathrm{b} h^2\): BBN from Schöneberg 2024
\(n_\mathrm{s} \sim \mathcal{G}(0.9649, 0.042^2)\)
Full Shape + BAO measurements




\(\Omega_\mathrm{b} h^2\): BBN from Schöneberg 2024
\(n_\mathrm{s} \sim \mathcal{G}(0.9649, 0.042^2)\)
Full Shape + BAO measurements




\(\Omega_\mathrm{b} h^2\): BBN from Schöneberg 2024
\(n_\mathrm{s} \sim \mathcal{G}(0.9649, 0.042^2)\)
Full Shape + BAO measurements




\(\Omega_\mathrm{b} h^2\): BBN from Schöneberg 2024
\(n_\mathrm{s} \sim \mathcal{G}(0.9649, 0.042^2)\)
Full Shape + BAO measurements




\(\Omega_\mathrm{b} h^2\): BBN from Schöneberg 2024
\(n_\mathrm{s} \sim \mathcal{G}(0.9649, 0.042^2)\)
Full Shape + BAO measurements



Full Shape + BAO measurements

\(S_8\) constraints

\(S_8 = \sigma_8 (\Omega_\mathrm{m} / 0.3)^{0.5}\) best constrained by weak lensing surveys

\(S_8\) constraints

- Consistency with SDSS
- In agreement with CMB*
*Primary CMB (CMB-nl): Planck Collaboration, 2018
Lensing: Planck PR4 + ACT DR6 lensing ACT Collaboration, 2023, Carron et al., 2022
\(S_8 = \sigma_8 (\Omega_\mathrm{m} / 0.3)^{0.5}\) best constrained by weak lensing surveys

\(S_8\) constraints

- Consistency with SDSS
- In agreement with CMB
- Weak lensing prefers lower \(S_8\), but still consistent
\(S_8 = \sigma_8 (\Omega_\mathrm{m} / 0.3)^{0.5}\) best constrained by weak lensing surveys


Combined constraints
- Adding DESI to DESY3 6x2pt* improves \(\sigma_8\) and \(\Omega_\mathrm{m}\) precision by \(\times 2\) (\(S_8\) by \(20\%\))
*DES and SPT collaborations 2022
6x2pt = galaxy-galaxy, galaxy-shear, shear-shear, galaxy-CMB lensing, shear-CMB lensing, CMB lensing-CMB lensing

Combined constraints
- Adding DESI to DESY3 6x2pt improves \(\sigma_8\) and \(\Omega_\mathrm{m}\) precision by \(\times 2\) (\(S_8\) by \(20\%\))
- Adding DESI to CMB improves \(\Omega_\mathrm{m}\), \(H_{0}\) and \(S_{8}\) precision by \(30\%\)


Combined constraints
- Adding DESI to DESY3 6x2pt improves \(\sigma_8\) and \(\Omega_\mathrm{m}\) precision by \(\times 2\) (\(S_8\) by \(20\%\))
- Adding DESI to CMB improves \(\Omega_\mathrm{m}\), \(H_{0}\) and \(S_{8}\) precision by \(30\%\)


Dark Energy fluid, pressure \(p\), density \(\rho\)
Equation of State parameter \(w = p / \rho\)
Linked to the evolution of Dark Energy \(w(z) = -1 + \frac{1}{3}\frac{d \ln f_\mathrm{DE}(z)}{d \ln (1 + z)}\)
Let's assume the CPL parameterization
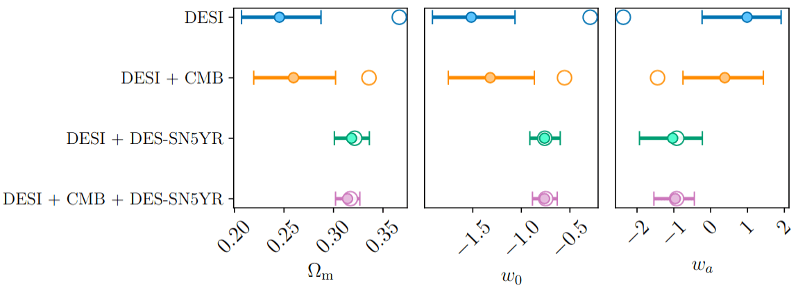
Dynamical Dark Energy - \((w_{0}, w_{a})\)


Dynamical Dark Energy - \((w_{0}, w_{a})\)

(\(\Omega_\mathrm{m}, \sigma_{8})\) constraints remain stable in \(w_0w_a\text{CDM}\)

SN (uncalibrated):
Dynamical Dark Energy - \((w_{0}, w_{a})\)

Dynamical Dark Energy - \((w_{0}, w_{a})\)
Combining all DESI + CMB + SN

MAP
DESI + CMB + Pantheon+: \(2.5\sigma\)
DESI + CMB + Union3: \(3.4\sigma\)
DESI + CMB + DES-SNY5R: \(3.8\sigma\)

Dynamical Dark Energy - \((w_{0}, w_{a})\)
Combining all DESI + CMB + SN

DESI + CMB + Pantheon+: \(2.5\sigma\)
DESI + CMB + Union3: \(3.4\sigma\)
DESI + CMB + DES-SNY5R: \(3.8\sigma\)

Dynamical Dark Energy - \((w_{0}, w_{a})\)
Combining all DESI + CMB + SN

DESI + CMB + Pantheon+: \(2.5\sigma\)
DESI + CMB + Union3: \(3.4\sigma\)
DESI + CMB + DES-SNY5R: \(3.8\sigma\)
- \(20\%\) better constraints in \((w_0, w_a)\) than without FS
- same preference for \(w_{0} > -1, w_{a} < 0\)
- similar significance for \(w_0w_a\)CDM vs \(\Lambda\)CDM

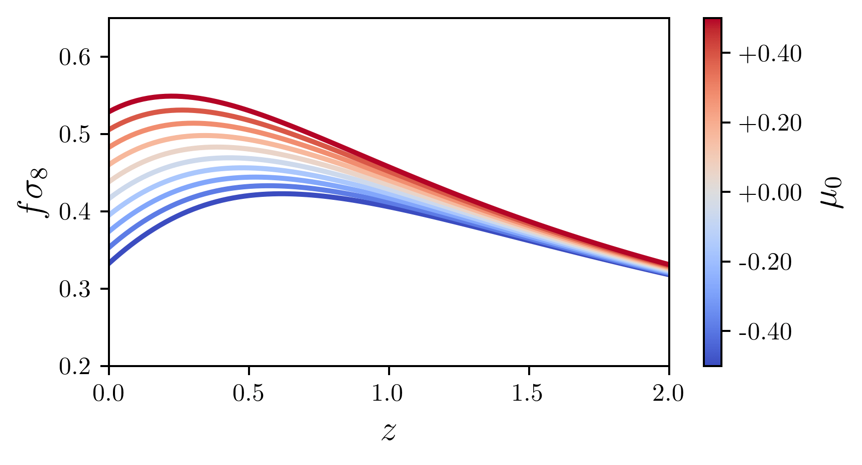
Massive neutrinos impact:
i) the expansion history
ii) the growth of structure: \( \Delta P(k)/P(k) \propto -\sum m_\nu / \omega_\mathrm{m} \)
Sum of neutrino masses
the \(k\)-fitting range


Massive neutrinos impact:
i) the expansion history
ii) the growth of structure: \( \Delta P(k)/P(k) \propto -\sum m_\nu / \omega_\mathrm{m} \)
Taking \(n_\mathrm{s}\) prior from Planck:

Sum of neutrino masses

Sum of neutrino masses
Internal CMB degeneracies limiting precision on the sum of neutrino masses


Sum of neutrino masses
Internal CMB degeneracies limiting precision on the sum of neutrino masses

(\(15\%\) better than BAO + CMB: \(0.082 \, \mathrm{eV} \))
Low preferred value of \(H_{0}\) yields

Sum of neutrino masses
Impact of the CMB likelihood:
CamSpec and HiLLiPoP-LoLLiPoP based on Planck PR4


Sum of neutrino masses
Limit relaxed for more flexible expansion model
e.g. \(\sim 0.2\, \mathrm{eV} \; (95\%)\) in \(w_0w_a\mathrm{CDM}\), with DES-SN5YR


Perturbed FLRW metric
\(ds^2=a(\tau)^2[-(1+2\orange{\Psi})d\tau^2+(1-2\orange{\Phi})\delta_{ij}dx^i dx^j]\)
At late times:
(mass) \(k^2\orange{\Psi} = -4\pi G a^2 \green{\mu(a,k)} \blue{\sum_i\rho_i\Delta_i}\)
(light) \(k^2(\orange{\Phi} + \orange{\Psi})=-8\pi G a^2 \green{\Sigma(a,k)} \blue{\sum_i\rho_i\Delta_i}\)
gravitational potentials
In general relativity, \(\green{\mu(a, k)} = \green{\Sigma(a, k)} = 1\)
density perturbations
Modified gravity

In general relativity, \(\green{\mu(a, k)} = \green{\Sigma(a, k)} = 1\)
To test GR, introduce \(\green{\mu_0, \Sigma_0}\)

Modified gravity
Perturbed FLRW metric
\(ds^2=a(\tau)^2[-(1+2\orange{\Psi})d\tau^2+(1-2\orange{\Phi})\delta_{ij}dx^i dx^j]\)
At late times:
(mass) \(k^2\orange{\Psi} = -4\pi G a^2 \green{\mu(a,k)} \blue{\sum_i\rho_i\Delta_i}\)
(light) \(k^2(\orange{\Phi} + \orange{\Psi})=-8\pi G a^2 \green{\Sigma(a,k)} \blue{\sum_i\rho_i\Delta_i}\)
gravitational potentials
density perturbations


DESI constrains
GR
Modified gravity

\(\Sigma_0\) constrained by
- CMB (ISW and lensing)
- galaxy lensing

Modified gravity
DESI constrains

\(\Sigma_0\) constrained by
- CMB (ISW and lensing)
- galaxy lensing

Modified gravity
compared to CMB-nl + DESY3 (3x2pt) only: \(\sigma(\mu_0) / 2.5\), \(\sigma(\Sigma_0) / 2\)
DESI constrains

Conclusions
Adding Full Shape information to BAO: sensitivity to structure growth
DESI Full Shape favors \(\sigma_8, S_8\) consistent with Planck
Expansion history: in agreement with previous DESI BAO and CMB results
Still hint of dynamical dark energy, \(w_0, w_a\) constraints improved by \(20\%\)
Still low \(\sum m_\nu\), improved by \(15\%\)
Modified gravity \(\mu_0\) parameter to be consistent with the zero GR value

Conclusions
Adding Full Shape information to BAO: sensitivity to structure growth
DESI Full Shape favors \(\sigma_8, S_8\) consistent with Planck
Expansion history: in agreement with previous DESI BAO and CMB results
Still hint of dynamical dark energy, \(w_0, w_a\) constraints improved by \(20\%\)
Still low \(\sum m_\nu\), improved by \(15\%\)
Modified gravity \(\mu_0\) parameter to be consistent with the zero GR value

Conclusions
Adding Full Shape information to BAO: sensitivity to structure growth
DESI Full Shape favors \(\sigma_8, S_8\) consistent with Planck
Expansion history: in agreement with previous DESI BAO and CMB results
Still hint of dynamical dark energy, \(w_0, w_a\) constraints improved by \(20\%\)
Still low \(\sum m_\nu\), improved by \(15\%\)
Modified gravity \(\mu_0\) parameter to be consistent with the zero GR value
DR2 data (Y3 > Y1) on disk, BAO analysis on-going... stay tuned!

Back Up

Imaging systematics


variations of angular galaxy density
stellar redening map from DESI data

Imaging systematics
-
Imaging weights (linear for BGS and LRG, Sysnet for ELG, RF for QSO)
-
Polynomial correction and mode removal for ELG and QSO

Other datasets

- SDSS (for comparisons only): eBOSS Collaboration, 2020
- Primary CMB: Planck Collaboration, 2018
- CMB lensing: Planck PR4 + ACT DR6 lensing ACT Collaboration, 2023, Carron, Mirmelstein, Lewis, 2022
- BBN: Schöneberg, 2024
- SN: Pantheon+ Brout, Scolnic, Popovic et al., 2022, Union3 Rubin, Aldering, Betoule et al. 2023, DES-SN5YR DES Collaboration
- DESY3 3x2pt DES collaboration 2021, 6x2pt DES and SPT collaborations 2022

From images to redshifts






imaging surveys (2014 - 2019) + WISE (IR)
target selection
spectroscopic observations
spectra and redshift measurements

Mayall Telescope


focal plane 5000 fibers
fiber view camera
wide-field corrector FoV \(\sim 8~\mathrm{deg}^{2}\)
ten 3-channel spectrographs
49 m, 10-cable fiber run
Kitt Peak, AZ

Focal plane


86 cm
0.1 mm
Exposure time (dark): 1000 s
Configuration of the focal plane
CCD readout
Go to next pointing
140 s
5000 robotic fiber positioners!

Spectroscopic pipeline


wavelength
fiber number



\(z = 2.1\) QSO
\(z = 0.9\) ELG
Ly\(\alpha\)
CIV
CIII
[OII] doublet at \(2727 \AA\) up to \(z = 1.6\)
[OII]
Ly\(\alpha\) at \(1216 \AA\) down to \(z = 2.0\)

Impact of neutrinos

Euclid Collaboration 2024,
youtube_talk_DESI_DR1_FS_2024
By Arnaud De Mattia
youtube_talk_DESI_DR1_FS_2024
- 767