Statistical Analysis and Recommendation System
based on
Amazon Product Reviews
Pavan Manjunath
Hari Prasath Raman
Arvind Ram Anantharam

Overview
- Design
- EDA and Filtering Techniques
- Matrix Factorization
- Results
- Demo
Design Introduction
- Collaborative Filtering / Social Filtering
- Personal Filtering
-
Product Filtering
- Hybrid Filtering
- Matrix Factorization
Social Filtering


Collaborative Filtering based on Jaccard Similarity.
Generate recommendations based on similar users
Personal Filtering

Price Range of the user's buying pattern
Product Filtering

To avoid suggesting bad movies based on review distribution
Hybrid Filtering

To avoid products far away in the network graph from the movies users liked.
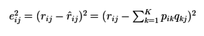
Matrix Factorization
-
Given that each users have rated some items in the system, we would like to predict how the users would rate the items that they have not yet rated
-
Matrix factorization can be used to discover latent features underlying the interactions between two different kinds of entities
- Firstly, we have a set of U users, and a set of M movies. Let R of size |U x M| be the matrix that contains all the ratings. Lets assume K latent features. Our task, then, is to find two matrices matrices P(a |U x K| matrix) and Q (a |K x D| matrix) such that their product approximates R:

Matrix Factorization





Results

Percentage Increase in Success after each level of filtering
Demo
Interactive online tool




deck
By arvind ram
deck
- 1,163