Statements
Statements
are JavaScript commands
are terminated with semicolons
are executed to make something happen
JS programs are nothing more than a sequence of statements to execute
the JS interpreter, by default, executes these statements one after another in the order they are written
Statements
expression statements
expressions with side effects can stand alone as statements (like assignments / function invocations)
declaration statements
which declare new variables and define new functions
control structures
alter the default order of execution:
conditionals
make the interpreter execute or skip other statements depending on the value of an expression (like if/switch)
loops
execute other statements repetitively (like while / for)
jumps
cause the interpreter to jump to another part of the program ( like break / return / throw )
Expression Statements
Expression statements
simplest kinds of statements in JS
are expressions that have side effects
assignment statements
increment and decrement operators
the delete operator
function calls
! if a function doesn't have any side effects, there's no sense in calling it,
unless it's part of a larger expression or an assignment statement
Compound statements
a statement block
is a sequence of statements enclosed within curly braces { }
combines multiple statements into a single compound statement
acts as a single statement, thus allows the usage of multiple statements where syntax expects a single statement
the block does not end with a semicolon, the primitive statements within the block end with semicolons
! indentation, optional but makes the code easier to read and understand
Empty statement
is the opposite of a compound statement
as it allows you to include no statements where one is expected
looks like this ";"
the interpreter takes no action when it executes an empty statement
the empty statement is occasionally useful when you want to create a loop that has an empty body
! when intentionally using the empty statement, it is a good idea to comment code in a way that makes it clear that it has been done on purpose
Declaration Statements
Declaration statements
var and function
declare or define identifiers (variables and function names)
that can be used elswhere in the program to be assigned values
this type of statements don’t do much themselves,
but by creating variables and functions they, in an important sense, define the meaning of the other statements in your program
var statement
declares one or more variables
the var keyword is followed by a comma-separated list of variables
each variable in the list may optionally have an initializer expression that specifies its initial value
when statement appears within the body of a function, it defines local variables, scoped to that function
when var is used in top-level code, it declares global variables (properties of the global object, which can't be deleted)
var statement
if no initializer is specified, the variable's initial value is undefined
variables are defined throughout the script or function
in which they are declared, their declaration is “hoisted” up to the start of the script or function
initialization, however, occurs at the location of the var statement, and the value of the variable is undefined before that point in the code
var can also appear as part of the for and for/in loops (these variables are hoisted, just like variables declared outside of a loop)
! it is harmless to declare the same variable multiple times
function statement
the function keyword is used to define functions,
it can be used as part of an expression and it can also be use in statement form (exemple)
function funcname([arg1 [, arg2 [..., argn]]]) {statements}
funcname is an identifier that names the function being declared
followed by a comma-separated list of parameter names in parentheses - can be used within the body of the function to refer to the argument values passed when the function is invoked
the body of the function is composed of any number of statements, contained within curly braces (always required)
the statements are not executed when the function is defined instead, they are associated with the new function object for execution when the function is invoked
function statement
may appear in top-level code or may be nested within other functions (but only at the top level of the function they are nested within) => function definitions may not appear within if statements, while loops, or any other statements
statements differ from expressions in that they include a function name
both forms create a new function object, but the function declaration statement also declares the function name as a variable and assigns the function object to it
like variables, function definition statements are implicitly “hoisted” to the top of the containing script or function, so that they are visible throughout the script or function (both function name and body) => a JS function can be invoked before it is declared
function declaration statements create variables that cannot be deleted, however these variables are not read-only, and their value can be overwritten
Control structures
Conditional
statements
Conditional statemets
execute or skip other statements depending on the value of a
specified expression
are the decision points of your code, and they are also sometimes known as “branches”


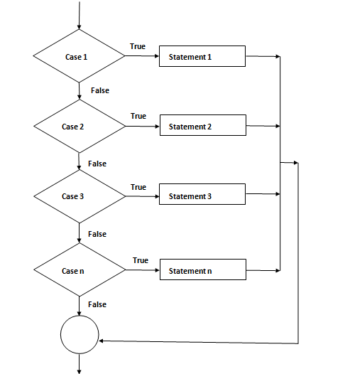
if statement
is the fundamental control statement that allows JavaScript to make
decisions, to execute statements conditionally
Statements
By Azaleea Cristina Constantinescu
Statements
- 752