Text

@BiancaGando

Intro to

Graphs

Concept

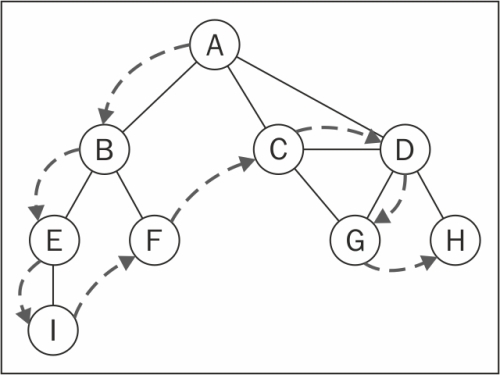
Graphs are a set of vertices connected by edges

 

 

 

 

 

 

Each item in the graph contains:

  1. Stored data -- aka node value
  2. Stored references -- aka relationships aka edges -- to zero or more other nodes

@BiancaGando

Vocabulary

@BiancaGando

Edges

  represent the connection b/t 2 vertices

  can be directed or undirected

Vertices

  nodes in the graph

Path

  a sequence of connected vertices

  a simple path has no repeated vertices

Cycles

  a path that is cyclical

  an acyclic graph has no cycles

Text

@BiancaGando

Adding an edge

Deleting an edge

Detecting an edge

Finding the neighbors of a vertex

Finding a path between two vertices

Common Operations

@BiancaGando

Representing

Graphs

Text

@BiancaGando

Adjacency Matrix

Undirect Graph

Text

@BiancaGando

Adjacency Matrix

Directed Graph

@BiancaGando

Adjacency Matrix

Weighted Directed Graph

@BiancaGando

Pseudocode

Constructor

addNode()

addEdge()

@BiancaGando

Adjacency List

Directed Graph

@BiancaGando

Pseudocode

Constructor

addNode()

addEdge()

Consider:

How could we represent (un)directed edges?

How could we represent weighted edges?

Exercise Time!

@BiancaGando

Text

@BiancaGando

Intro to

Depth-First Search

DFS

@BiancaGando

Why? Find paths, cycles, connectivity and more!

Concepts:

Explored (black), Visited (gray), Undiscovered (white)

Graph Traversing

@BiancaGando

Pseudocode

//Code here

Exercise Time!

@BiancaGando

@BiancaGando

  1. Mark v as discovered (grey).

  2. For all unvisited (white) neighbors w of v:

    1. Visit vertex w.

  3. Mark v as explored (black).

Procedure

O(n)
O(n)O(n)

Complexity

Depth-First Search (DFS)

Time

Text

@BiancaGando

Intro to

Breadth-First Search

BFS

@BiancaGando

Concept: BFS

@BiancaGando

Diagram: BFS

@BiancaGando

Pseudocode

//Code here

@BiancaGando

  1. Create a queue Q.

  2. Mark v as discovered (grey) and enqueue v into Q.

  3. While Q is not empty, perform the following steps:

    1. Dequeue u from Q.

    2. Mark u as discovered (grey).

    3. Enqueue all unvisited (white) neighbors w of u.

    4. Mark u as explored (black).

Procedure

@BiancaGando

1. BFS Function

   - queue

   - recursion

 

2. Tree vs Graph Data Structure

Interface: BFS

@BiancaGando

O(n)

Time Complexity

@BiancaGando

Shortest path finding

Web crawlers

Use Cases: BFS

Exercise Time!

@BiancaGando

Recap

  • DFS and BFS can be applied to graphs and trees
  • information about how data is organized in the graph or tree can aid in determining whether to use DFS or BFS
  • BFS can be implemented using helper data structures
  • DFS can be implemented recursively and is the simpler of the two methods to implement

Recap

Concepts

Exercise Time!

@BiancaGando

Graphs & Paths

By Bianca Gandolfo

Graphs & Paths

  • 2,644