High fidelity identification of 5-hydroxymethylcytosine 

using enzymatic conversion to characterize differentiation of mouse E14 cells

Bradley W.  Langhorst

Acknowlegements

This talk represents the work of many people at NEB

 

Dan Evanich

Chaithanya Ponnaluri

Laura Blum

Sagnik Sen

Matt Campbell

Brad Langhorst

Louise Williams

Sriharsa Pradhan

NEB management:
 

Sal Russello

Tom Evans

Nicole Nichols

Kit Krishan

 

Don Comb

Experiment Design

Collection Points

Differentiation 13 days

Mouse E14 ESCs

+RA

-mLIF

+N2

+N2/B27

Embryonic Bodies

Neuronal Progenitor Cells

Neuronal

At each time point:

3x RNA-seq

3x EM-seq

3x E5hmC-seq

3x Nucleoside LC-MS/MS

day 0, 3x

day 1, 3x

day 2, 3x

day 3, 3x

day 4, 3x

day 5, 3x

day 6, 3x

day 7, 3x

day 8, 3x

day 9, 3x

day 11, 3x

day 13, 2x

day 10, 3x

Enzymes

Library Construction

E5hmC-seq

EM-seq

C

mC

hmC

5fC

5caC

5gmC

APOBEC

U

T4-BGT

T

C

C

APOBEC

Sequenced

as

Substrate

Product

APOBEC

U

T

C

mC

hmC

5fC

5caC

5gmC

APOBEC

U

TET2
TET2
TET2
T4-BGT

T

C

C

APOBEC

Sequenced

as

Substrate

Product

APOBEC

PCR

Sequence

Tet2,BGT

Ligation

EndPrep

Fragment

APOBEC

PCR

Sequence

BGT

Ligation

EndPrep

Fragment

Digested Nucleoside Content

Analysis Plan

RNA Analysis

Adapter Trim

Trim Galore

Align

salmon, GENCODE

Differential Expression DE-seq2

Methylation Analysis

Adapter Trim

fastp

Align

bwa-meth

Mark Duplicates

Picard

Methylation Analysis

Methyldackel

https://github.com/nebiolabs/EM-seq

Differential Methylation

MethylKit, Defiant,

Dnmtools mlml for mC calculation

200 ng hmC library replicates

~30X coverage

~120X coverage

R^2 0.94

R^2 0.63

0

0.5

1

0

0.5

1

0

0.5

1

0

0.5

1

frac hmC rep2

frac hmC rep2

frac hmC rep 1

frac hmC rep 1

Methylation Results

Methylation Levels 

5mC

5hmC

Methylation Changes in Genic Regions

5hmC

5mC

What's happening to hmC?  

DhMRs(D0 vs D8):  

Clust 1

Clust 1

Clust 0

Clust 0

hmC Fate by Feature

DhMRs(D0 vs D8):  

Clust 1

Clust 1

Clust 0

Clust 0

RNA Results

Differential Expression

RNA-seq Clustering

D0 vs D4 Decreasing

D0 vs D4 Increasing

Methylation + RNA = ?

Dogma

Wikipedia:

When located in a gene promoter, DNA methylation typically acts to repress gene transcription. In mammals,

 

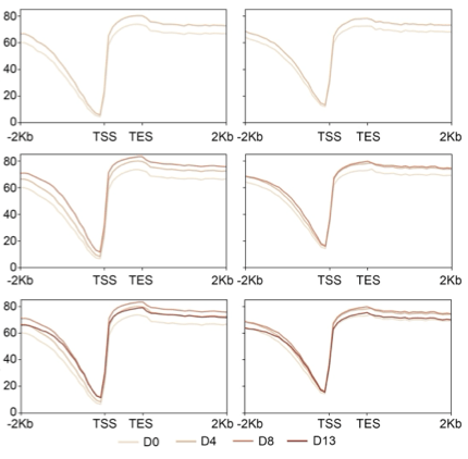
DE Gene Methylation Levels

hmC

E14 ⭢ Embrioid Bodies

E14 ⭢

NPCs

E14 ⭢

Neuronal

mC

Decreasing

Increasing

Decreasing

Increasing

Zemach et. al.:

Eukaryotic cytosine methylation represses transcription but also occurs in the bodies of active genes, and the extent of methylation biology conservation is unclear.

 

https://www.science.org/doi/10.1126/science.1186366

Next Steps

  • Share observations and initial results
  • Gene subgroups 
  • Trajectory + Methylation Signal Clustering
    • Don't really know how to do this yet...

Thank you

  • Assessing 5hmC in detail is possible
  • You need to sequence pretty deep
  • The methylation story is not simple

 

Questions?

 

 

 

Also, talk with me about:

  • Multiplex PCR RSV sequencing method

  • Influenza-A ONT sequencing method

  • primer-monitor.neb.com (looking for variant overlaps)

  • EM-seq v2

  • A new small RNA method

  • Element, Singular and CGI library compatibility

  • Induro RT - for making long cDNA

High fidelity identification of 5hmC

By Brad Langhorst

High fidelity identification of 5hmC

  • 346