Corps humain
Décès
Introduction
A partir du thème corps humain, décès nous nous sommes intéressées à la résolution d'enquêtes criminelles grâce aux indices présents sur les scènes de crimes.
Dans un premier temps, nous allons voir comment trouver l'heure à laquelle un individu est mort. Pour cela, nous allons vous proposer trois techniques de résolution possibles.
Dans un deuxième temps, nous allons voir comment il est possible de trouver l'endroit exact du crime grâce aux tâches de sang sur le lieu du meurtre.
C

Par quels moyens peut-on résoudre une enquête criminelle ?
Sommaire










- Datation d'une mort
- Température
- Lividités
-Rigidités
- Expérience

-Cyclose de l'élodée
- Détermination de l'endroit de la mort
-Tâches de sang
E
Datation d'une mort
Il existe 3 critères principaux qui permettent de déterminer la date à laquelle un individu est décédé
La température corporelle:

C
Différents moyens pour déterminer l'heure du décès
Formules mathématiques :
Avec
Où k est un paramètre dépendant de la masse M (en kg) de l'individu
E
Nomogramme de Henssge :

Température du corps
Poids de la victime
Température ambiante
E
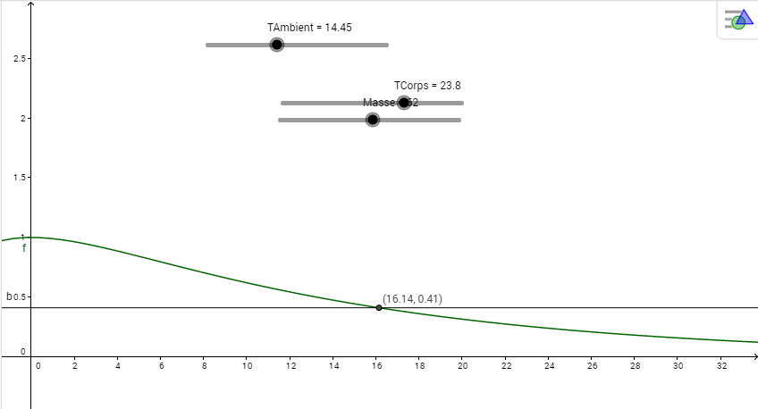
Logiciel Geogebra :
Curseur température ambiante
Curseur température du corps
Curseur poids de la victime
E
Plusieurs facteurs environnementaux peuvent avoir une influence sur le résultats de l'équation
Dans le calcul de la datation d'un cadavre, il est nécessaire de faire intervenir des éléments de corrections qui réduisent ou accélère le refroidissement d'un facteur Cf.
- Si Cf > 1, le corps se refroidit plus lentement.
- Si Cf = 1, le corps ne refroidit ni plus lentement ni plus rapidement
- Si C< 1, le corps se refroidit plus rapidement
E
Exemple d'un cas d'enquête
Monsieur X a retrouvé le corps d'une jeune femme en rentrant du travail. Il téléphone au commissariat de police.
L'inspecteur Y lui demande alors plus de renseignements concernant la victime.
Étant médecin légiste, monsieur X décide de prendre les mesures que lui a demandé l'inspecteur.
Les mesures relevées par monsieur X sont:
... pour la température ambiante
... pour la température du corps
... pour le poids de la victime
... de facteur correctif
E
Nomogramme de Henssge
E
Logiciel Geogebra
E
Les lividités cadavériques:


Les lividités cadavériques correspondent à des zones assombries sur le corps d'un individu mort.
A
Autre utilisation des lividités cadavériques
La teinte des lividités cadavériques peut apporter des renseignements supplémentaires pour l'enquête.
- Lividités de teinte rouge-carmin
intoxication au monoxyde de carbone
- Lividités cyanosées
asphyxie
pathologie cardiaque ou pulmonaire
E
Rigidités cadavériques :

Lorsqu'une personne décède une rigidité intervient assez rapidement après la mort.
C
Expérience : cyclose de l'élodée
- Première observation microscopique:
-Cyclose sans modification
- Observation :
-Chloroplastes en mouvement dans le cytoplasme autour de la membrane
Cellule de feuille d'élodée
Membrane plasmique
Chloroplastes
Cytoplasme
C
- Première manipulation :
- réalisation d'un jus de laurier
- Deuxième manipulation :
- injection d'une goutte du jus de laurier
- Deuxième observation microscopique :
- cyclose après premiere injection de jus de laurier
Observation:
- légère modification du mouvement des chloroplastes

E
A
- Deuxième manipulation :
- deuxième injection de jus de laurier
- Troisième observation microscopique :
-Cyclose après deuxième injection de jus de laurier
Observation:
- Arrêt du mouvement des chloroplastes

A
- Quatrième observation microscopique
- cyclose sans cyanure
- Troisième manipulation :
- injection d'une goutte de cyanure
- Cinquième observation microscopique :
- cyclose avec cyanure
Observation:
- Arrêt du mouvement des chloroplastes

C
Cyanure
Le cyanure de l'anion CN
, formé d'un atome de carbone lié par une liaison triple à un atome d'azote.

Détermination de l'endroit de la mort
La détermination de l'endroit de la mort est réalisée grâce aux taches de sang présentent sur la scène de crime.

Elle permet de renseigner les enquêteurs sur les conditions dans lesquels le crime a pu se dérouler et de faire avancer l'enquête car l'endroit où la balle a touché la victime est un élément clé pour résoudre l'enquête.
E
Réalisation d'un protocole
Conclusion
Ainsi, nous vous avons proposé deux techniques pour faire avancer une enquête criminelle.
La détermination de l'heure à laquelle une personne est décédée dépend de trois critères. Il existe trois méthodes de résolution dont deux établit par le Docteur Henssge applicables si et seulement si la mort est récente.
La détermination de l'endroit de la mort qui dépend de la position des tâches de sang de la victime et qui permet un reconstitution du déroulement du crime.
A
TPE corps humain décès
By Camila Zrg
TPE corps humain décès
- 910