Large Deviations statistics of the cosmic log-density field
Cora Uhlemann
The evolution of the density field

Initial
Gaussian density fluctuations
First two moments

Requires infinite number of moments
Gravity
Non-Gaussian

Barrier at 0!
Credit: S. Codis+16
Current approaches to describe the non-Gaussian field
- Perturbation theory : Needs perturbations to be small everywhere
- N-body simulations, solve the fully non-linear equations
Can we derive an analytical expression for the fully non-linear field from first principles?
Statistics of density in concentric spheres

Only assumption : the variance of the field must be small inside the sphere
Large Deviations Principle + Spherical Collapse

Uhlemann '16

What is the most likely initial configuration the final density originated from?
Assumption: Spherical symmetry ensures the most likely path is given by spherical collapse dynamics
Credit: S. Codis

What is the most likely one?
Valageas 2002
Large Deviations Theory
Theory around probability families that fulfill:
Driving parameter
Rate Function
True for a Gaussian PDF
CONTRACTION PRINCIPLE If tau follows LDP:
Family of (non-linear) mappings from tau to rho
Most likely mapping from tau to rho
Large deviations follow the most likely of the unlikely paths

i) Initial Gaussian random field
ii) Map the initial PDF into the final one assuming the most likely path given by spherical collapse dynamics
iii) Final PDF depends on:
Modifications of gravity
Growth of structure
Primordial non-Gaussianity

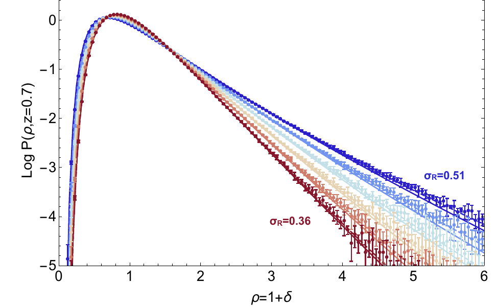
Main result
- Fully analytical predictions for the density PDF in a sphere accurate at the percent level in the non-linear regime (data not used at the moment).
- Use the cosmological dependency to test gravity in the non linear regime.
- For density in spheres, the most likely dynamics is the one respecting the symmetry.
Summary
Group Meeting: large deviations
By carol cuesta
Group Meeting: large deviations
- 581