Generative Solutions for Cosmic Problems
Flatiron Institute
Institute for Advanced Studies
Carol(ina) Cuesta-Lazaro

["Genie 2: A large-scale foundation model" Parker-Holder et al (2024)]

["Generative AI for designing and validating easily synthesizable and structurally novel antibiotics" Swanson et al]
Probabilistic ML has made high dimensional inference tractable
1024x1024xTime
["Genie 3: A new frontier for world models" Parker-Holder et al (2025)]
Carolina Cuesta-Lazaro Flatiron/IAS - TriState
Model Mispecification
Carolina Cuesta-Lazaro Flatiron/IAS - TriState
Shared Information
Private Information
- Shared + Private
Simulation-Based Inference in Cosmology

True
Reconstructed


Idealized Simulations
Observations
+ Scale Dependent Noise
+ Bump
Representation Learning

Physics
Systematics

Amplitude
Tilt
Tilt
- Shared
- Private
[arXiv:2503.15312]
BEFORE
Artificial General Intelligence?
AFTER


Carolina Cuesta-Lazaro Flatiron/IAS - TriState
Artificial General Intelligence?
Carolina Cuesta-Lazaro Flatiron/IAS - TriState

[https://metr.org/blog/2025-07-14-how-does-time-horizon-vary-across-domains/]
Observation
Question
Hypothesis
Testable Predictions
Gather data
Alter, Expand, Reject Hypothesis
Develop General Theories
[Figure adapted from ArchonMagnus]
High-dimensional data
Simulators as theory models
The Scientific Method in 2025
The Universe accelerates!
The Universe expands, it should decelerate
What is the ultimate fate of the Universe?
Need a repulsive dark energy component
Measure supernovae redshifts
Matter domination -> the Universe decelerates: rate?
Distance-redshift relation via standard candles
Carolina Cuesta-Lazaro Flatiron/IAS - TriState
["DESI 2024 VI: Cosmological Constraints from the Measurements of Baryon Acoustic Oscillations" arXiv:2404.03002]

Dark Energy is constant over time
Carolina Cuesta-Lazaro Flatiron/IAS - TriState

DM-DE Interactions
Carolina Cuesta-Lazaro Flatiron/IAS - TriState

[arXiv: 2503.14743]
Phantom Crossing
Violates Null Energy Condition
[arXiv: 2503.16415]
Change in dark matter mass
["An LLM-driven framework for cosmological
model-building and exploration" Mudur, Cuesta-Lazaro, Toomey (in prep)]

Can LLMs help us explore the space of hypothesis?
Propose a model for Dark Energy
Implement it in a Cosmology simulation code: CLASS
Test fit to DESI Observations
Iterate to improve fit
Quintessence, DE/DM interactions....
Must pass a set of general tests for "reasonable" models
Ideally, compare evidence to LCDM.
For now, Bayesian Information Criteria (BIC)
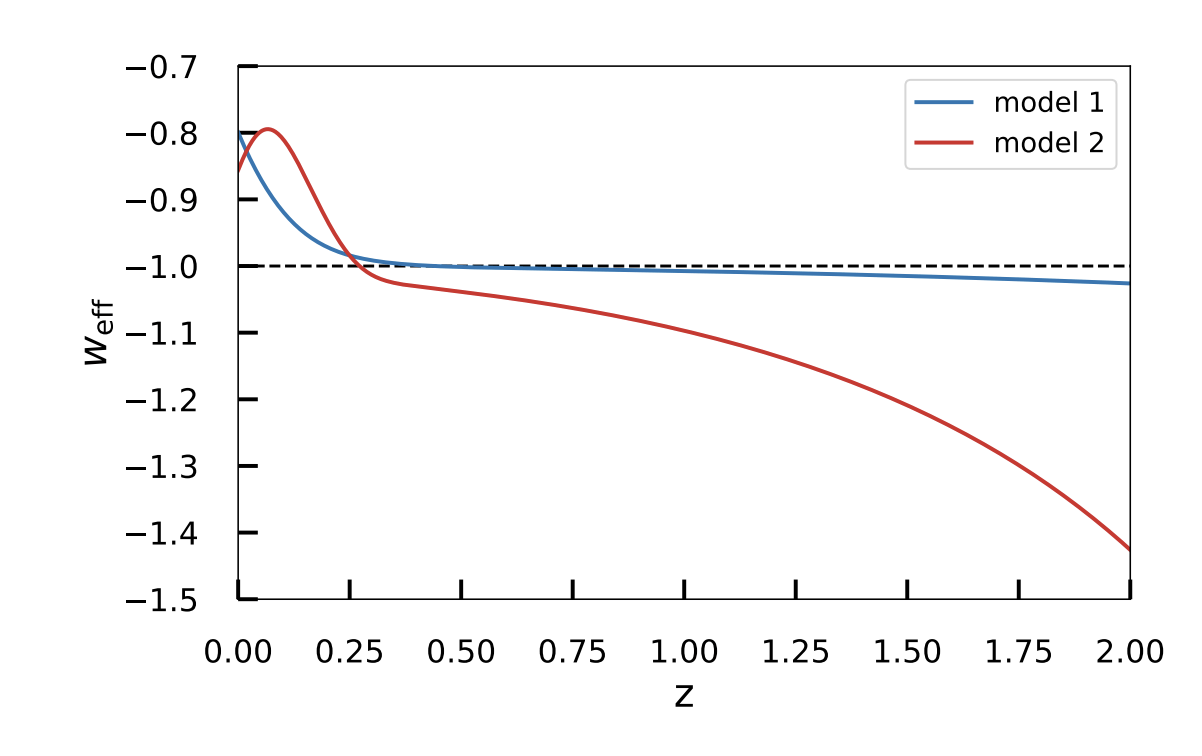
1
2

Nayantara Mudur (Harvard)
Carolina Cuesta-Lazaro Flatiron/IAS - TriState
Can LLMs implement new physics models?
Thawing Quintessence
Axion-like Early Dark Energy
Ultra-light scalar field that temporarily acts as dark energy in the early universe
Implementation Challenge:
Dynamic dark energy model: scalar field transitions from "frozen" (cosmological constant-like) to evolving as the universe expands.
Oscillatory behaviour
Can take advantage of existing scalar field implementations in CLASS
+ 43,000 lines of C code
+ 10,000 lines of numerical files
CLASS Challenge:
Carolina Cuesta-Lazaro Flatiron/IAS - TriState

1) Code compiles + passes unit tests (reasonable observables, numerical convergence...)
2) Implementation agrees with target repository
3) Goodness of fit for DESI + Supernovae
4) H0 tension metrics
Curated
1 page long description of model to be implemented, CLASS tips + very explicit units
Paper
Directly from a full paper
If fails, get feedback from another LLM
Carolina Cuesta-Lazaro Flatiron/IAS - TriState
Propose a Dark Energy Model

Shortcut: field that produces this?
Carolina Cuesta-Lazaro Flatiron/IAS - TriState

Propose a Dark Energy Model
Asked for physical motivation. It tried :(
Not true, preferred scale
Carolina Cuesta-Lazaro Flatiron/IAS - TriState
Reinforcement Learning
How to iterate
Update the base model weights to optimize a scalar reward (s)

DeepSeek R1
Base LLM
(being updated)
Base LLM
(frozen)
Develop basic skills: numerics, theoretical physics, experimentation...
Community Effort!
Carolina Cuesta-Lazaro Flatiron/IAS - TriState
Learning to play "Scientist"
Carolina Cuesta-Lazaro Flatiron/IAS - TriState

1. Design next Experiment
2. Hypothesize Equation of motion
3. Simulate and Compare

Evolutionary algorithms
Learning in natural language, reflect on traces and results
Examples: EvoPrompt, FunSearch,AlphaEvolve
How to iterate
Carolina Cuesta-Lazaro Flatiron/IAS - TriState

["GEPA: Reflective prompt evolution can outperform reinforcement learning" Agrawal et al]

GEPA: Evolutionary
GRPO: RL
+10% improvement over RL with x35 less rollouts
Scientific reasoning with LLMs still in its infancy!
Carolina Cuesta-Lazaro Flatiron/IAS - TriState
3. Science is ultimately a human endeavor, what questions are interesting to answer and may be solvable is up to us. What role can LLMs play in Science?
Conclusions
1. LLMs are improving on most subjects at an insane rate, including maths
What problems in physics can we tackle with automated code generation?
Can generally make simulators more controllable!
Artificial Muses
2. How do we improve their physics reasoning skills?
RL over simulated worlds
Science not so amenable to a "scalar reward" setup
Carolina Cuesta-Lazaro Flatiron/IAS - TriState
"Play" is important
CCA-TriState-2025
By carol cuesta
CCA-TriState-2025
- 2