VARIETIES & VARIATION

James Milroy & Lesley Milroy

in The Handbook of Sociolinguistics (1997)

"Everybody knows that language is variable.

- Edward Sapir, 1921

1. Introduction

Variability as a field of study

  • Dominant linguistic theory primarily based on standardized forms of language
    • Empirical approaches: understanding variation and change in the structural parts of language
  • Advances in the field tied to technological advances
  • Emphasis on behaviour and naturalistic speech has contributed to numerous, other linguistic branches
    • Interactional SLX: Gumperz
    • Conversational analysis: Sacks, Schlegoff, Jefferson, etc.

Variability as a field of study

  • Variationist paradigm:

Variability in language is, or may be shown to be structured.

  • Based on research methods and analytic techniques developed by William Labov​ 
  • Focuses on the behavior of speakers or the nature of the interaction
    • What can we learn about the varying structures of language and speakers' knowledge of these variable structures?
  • Collects naturalistic speech from real speakers
  • Insists on full accountability to the data so collected, no matter how messy

2. The range & depth of Variation

Some Examples

Language is inherently variable at a number of structural levels - in phonology, morphology, and syntax in particular.
  • Examines certain dimensions that are external to language itself and relating variation in these to variation in language
    • Space: factors independent of human society; linguistic geography
    • Time: factors dependent on the passage of time; historical linguistics
    • Social: factors dependent on different speakers and groups of speakers; quan. social dialectology

quantitative paradigm: 

  1. Pick a variable!
  2. Quantify occurrences of variants of this variable among:
    1. Different speakers
    2. Groups of speakers

How are quan. variable studies done?

Benefits

  • Enables investigators to make accurate statements about fine-grained differences between groups of speakers in a community
  • Enables socially based explanations for aspects of language

Social variables

  • Variation according to the speaker's relationship to the resources of language and of the situational contexts in which the speakers finds his or herslf at different times
  • Shows covariation between linguistic and social categories
  • Includes:
  • Socioeconomic class
  • Age of speakers
  • Sex/Gender
  • Ethnicity
  • Social network
  • All speakers have stylistic variations
  • Patterns of variation within groups may reveal the direction of linguistic change
  • Range of casual/informal styles desirable in research

3. Speaker Variables & the Speech Community

The Speech COmmunity in Variational Studies

  • Envisaged as a sociolinguistic entity rather than a purely lx one
  • Not all speakers use the same variety
  • There is no "real" or "genuine" uniform language variety that characterizes the community
  • Labov: The SC . . .
    • Is a locus in which speakers agree on the social meanings and evaluations of the variants used
    • Incorporates variability in LG use
  • SCs in SLX studies are often geographically restricted, which aids in identifying the origins and diffusion of lx changes in progress

Innovation

An act of the speaker (or speakers) that may or may not become established in the linguistic system and become part of the language.

linguistic

An innovation may become a linguistic change

if it penetrates the system.

It will afterwards display a regular structure of variation in terms of social variables.

4. language maintenance, Standardization, & Change

At any time we care to look at a language. . . it is variable and in a state of change"

-J. Milroy, 1992

  • Traditional studies have treated LG states as different physical objects comparable to an invariant whole
    • But, like people, language is dynamic!
  • When a LG is recognized as a single phenomenon, it is assumed that it has undergone language maintenance

Maintenance

language

The process of consciously maintaining... a particular form of LG in a population where there is LX diversity wide enough to make communication difficult

May be implemented in a number of ways, but often involves government or educational intervention

standardization

language

Processes of maintenance which arise from the imposition of LX norms by powerful social groups

Tends to enforce structural uniformity in LG

(Variability is resisted and suppressed by stigmatization of nonstandard variants)

Standardization

  • A diachronic process occupying an extended time-scale
  • Continuously in progress
  • Does not reach completion in any language except a dead one
  • Usually studied in SCs where the standardized form is considered the well established superordinate norm

The standardization of English was completed in the eighteenth century.

True or False?

Latin is undergoing standardization.

False!

False!

Maintenance

  • Has been extended to cover situations where LG maintenance is noninstitutional

Vernacular maintenance:

Processes of maintenance, especially for the survival of nonstandard/low-status varieties, that are imposed by informal pressures within the speech community

  • Vernacular maintenance can result in social conflict between two opposing norms due to status-based and solidarity-based ideologies in a community

5. extra-linguistic variables

extra-linguistic variables

  • The use of previously mentioned speaker variables are methodological and exploratory, not explanatory.
    • There may be many aspects of social behaviour that are not accounted for in a single social behaviour
    • Underlying social factors may yield more precise correlations than the main variable (education level vs. social class)
  • LG variation and its methodology is exploratory and open-ended
    • Other factors beyond social variation are involved
    • In any study, there will be an excess of apparently random variation that are difficult to account for

Complex & simplex variables

  • Complex variables are calculated by reference to a number of indicators

*Socioeconomic (social) class:*

Social network:

  • Income
  • Trade/profession
  • Educational level
  • Density of network
  • Multiplexity in speaker's social relationships
  • Age
  • Sex
  • Simplex variables
    • Do not depend on multiple indicators
    • Do not need to be calculated in the form of numerical scores
    • Are verifiable from observation at the data collection stage

Simple Variables:

Socioeconomic class

  • Most controversial social variable is socioeconomic class due to the different ways it can be conceptualized, calculated, and interpreted in specific investigations

Stratificational social class:

  • Talcott Parsons (1952); Labov (1966)
  • Individuals classified by highest to lowest in a hierarchy of class groupings 
  • Results in a consensus view of society
  • Emphasizes general agreement w/in hierarchy

Marxist social class:

  • Social class emanates from economic factors (e.g., means of production & distribution)
  • Results in two broad groupings in society
  • Emphasizes conflict between groups

Socioeconomic class

  • Most widely used social variable as it is more readily adapted to quantitative use in modern sociolx
    • Central social variable in sociolx research as results obtained from work on other variables are interpreted in terms of social class or notions of prestige
      • Labov: Direction of style-shifting = upward movement in social hierarchy
    • Social class also affects the interpretation of gender differences
      • Females speak more "carefully" than males to acquire social prestige

While the quan. method is taken for granted as valid, the interpretation of results from this methodology is important!

6. gender

gender as a variable

Variation according to gender appears to be universal and... to be always in the same direction

Females:

Males:

  • LG more careful
  • Favor prestige norms
  • Identify more with supra-local variants
  • LG more casual
  • Favor vernacular norms
  • Identify more with localized variants

These differences are often normally demonstrated only by quantitative means

The milroy & milroy belfast study (1978)

Within the same social class or stratum, gender difference is always present and always moving in the same direction

re-graphing labov's 1966 nyc study (horvath, 1985)

Although class certainly has an effect, sex of speaker accounts for the distribution of /ð/ more satisfactorily than class

re-graphing labov's 1966 nyc study (horvath, 1985)

Although class certainly has an effect, sex of speaker accounts for the distribution of   /ð/ more satisfactorily than class

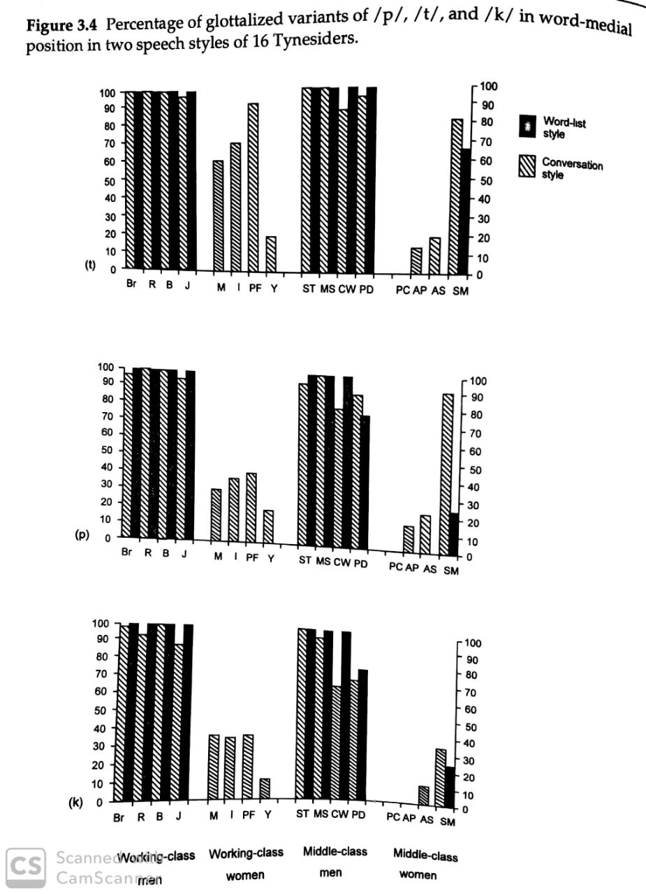
Glottalization in newcastle (rigg, 1987)

Glottalization of /p/, /t/, and /k/ in medial and word-final positions is sex-marked rather than class-marked

Glottalization in newcastle (rigg, 1987)

  • Scores between genders do not overlap
  • Males lead in glottal reinforcement
  • Females lead in use of glottal stop
  • Priority of gender over class is consistent in non-Western research
  • Female norms often become the prestige norms over time
  • Gender-marking should thus be interpreted outside/independently of prior categories of class, status, or prestige

gender as a variable

7. social network

Social network as a variable

  • Variable developed by L. Milroy as part of the Belfast study (1980; 1987)
  • Networks are in principle open-ended and... 
  • Anchored on relationships contracted by individual speakers with other individuals
    • All individuals are embedded in networks of personal ties
    • When these ties are strong, they can act as norm-enforcement mechanisms
    • Accounts for patterns of vernacular maintenace over time, often despite strong pressures from "legitimized" norms
  • In order to undetsand how LG changes are adopted by communities, we must also take account of patterns of resistance to change

Social network as a variable

  • Research refers specifically to maintenance/change hypothesis
    • Is primarily concerned with accounting for language maintenance/change
  • Density: refers to the extent speakers w/in the network know each other
  • Multiplexity: refers to the extent speakers interact with each other
  • The network variable is capable of accounting for certain patterns of lx variation
  • This variable also: 
    • Interacts with gender and age variables
    • Is suitable for analyzing situations of bilingualism, language contact, and language shift

social network & social class

Social class accounts for the hierarchical structure of society (arising from inequalities of wealth and power)

Social network deals w/ the dimension of solidarity at the level of the individual and their everyday contacts

  • Social network density and multiplexity tend to be weak in middle societal sectors
  • Close-knit solidarity ties are characteristic of lower and higher social groups
    • Some studies suggest social networks "fall out" naturally from different life modes
  • Different kinds of social network can be linked to the wider organization of society
    • These links can be explicated by considering the propoerties of weak and strong ties

8. the sociolinguistic variable

the "nonidentity" of the sociolx variable

  • The sociolx variable focuses on social variation rather than exculsively on intra-lx variation
    • Range does not normally correspond to that of a phoneme
    • Different social values may be attached to different patterns within a given phoneme
    • May overlap w/ different phonemes

Variants of a variable should demonstrably be variants of the same underlying linguistic element

In British English, the glottal stop for /t/ occurs in different positions with different variants with different social meanings

Thus, the glottalization is a complex variable contains a number of subvariables with different patterns

Research challenges with sociolx variables

  • Not widely discussed in literature
  • Some salient variables do not occur frequently enough for quantification throughout the whole range
  • Investigators cannot quantify all the variation that exists in a SC
    • Selection of representative variables depends on the skill of investigators
    • Nonquantitative description is necessary for a comprehensive account

9. languages & dialects as physical entities

How do we define "a language" ?

  • Language is generally described through invariant internal structural terms without reference to society
    • Social dialectology calls this approach to question
      • Are languages really discrete entities?
      • What do we actually mean when we describe "a language"?
    • In addition to structural LX criteria, we turn to sociopolitical criteria!

The variationist/sociolinguist view

  1. Boundaries between LGs cannot be wholly determined in terms of structural difference or mutual (in)comprehensibility
  2. LGs are relatively fluid and exist in variable physical states
  3. Discreteness is socially or sociopolitically imposed
    1. Discreteness in space and time are both difficult to determine
    2. Synchronic? Diachronic? Panchronic!
  4. ​Social dimensions are as equally important as spatial and chronic dimensions

Reflection Questions

Varieties & Variation

By Cassie / Casey

Varieties & Variation

This presentation summarizes the key points of Milroy and Milroy's article, "Varieties & Variation."

  • 539