According to RTU Syllabus

SURVEYING-II

CURVE SURVEYING

Part-5

A circular curve has 300 m radius and 60° deflection angle. calculate (i) length of curve, (ii) tangent length, (iii) length of long chord, (iv) mid-ordinate and (v) apex distance.

Solution: R = 300 m D = 60°

 

 

 

 

Degrees of Curve

 the sharpness of the curve is designated by the radius of the curve and by the degree of curvature

There are two different definitions of degree of curvature: (i) Arc Definition (ii) Chord Definition.

According to arc definition degree of curvature is defined as angle in degrees subtended by an arc of standard length [Fig. 2.4(a)]. This definition is generally used in highway practice. The length of standard arc used in FPS was 100 ft. In SI it is taken as 30 m. Some people take it as 20 m also.

Text

According to chord definition degree of curvature is defined as angle in degrees subtended by a chord of standard length [Fig. 2.4(b)]. This definition is com- monly used in railways. Earlier standard chord length used was 100 ft. Now in SI 30 m or 20 m is used as standard chord length.

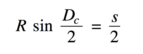
Chord Definition: Let Dc be degree of curve as per chord definition and s be the standard length of chord.

Methods of setting out of simple circular curves

ADITI SHARMA

surveying 2 part 5

By civilEngineering

surveying 2 part 5

  • 652