According to RTU Syllabus

SURVEYING

LINEAR AND ANGULAR MEASUREMENTS

Part-9

Problem 1.

A measurement of 171.278 m was recorded with a 30-m tape that was only 29.996 m long under standard conditions. What is the corrected measurement?

Correction for Measured Distance = L = (l'-l) x L / l

Nominal/Designated length of tape = l =20m/30m

Actual /Absolute length of tape = l' = 29.996 m

Measured Distance = L = 171.278 m

Correct Distance = L' = ?

Problem 2.

A tape of standard length 20 m at 85°F was used to measure a the . The measured distance was 882.50 m. The following being the slopes for the various segments of the line: Calculate the true length of the line if the mean temperature during measurement was 63°F and the coefficient of thermal expansion of the tape material is 6.5 × 10–6 per °F.

Problem 3.

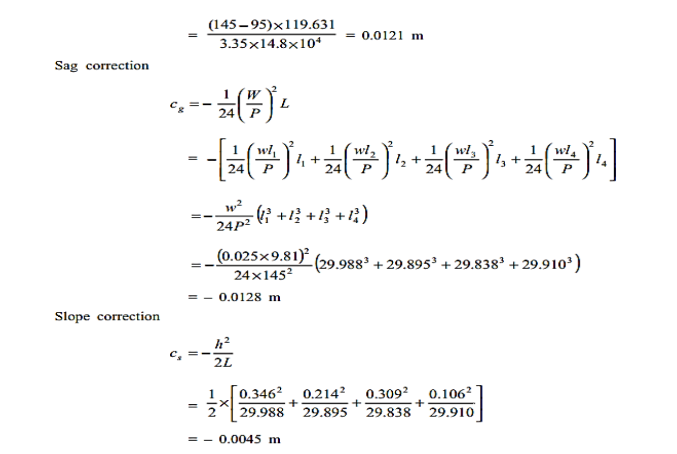
A base line was measured by tape suspended in catenary under a pull of 145 N, the mean temperature being 14°C. The lengths of various segments of the tape and the difference in level of the two ends of a segment are given in Table. If the tape was standardized on the flat under a pull of 95 N at 18°C determine the correct length of the line. Take ; Cross-sectional area of the tape = 3.35 mm2 Mass of the tape = 0.025 kg/m Coefficient of linear expansion = 0.9 × 10–6 per °C Young’s modulus = 14.8 × 104 MN/m2

Ranging a Survey Line

Definition of Ranging

  • When a survey line is longer than a chain length, it is necessary to align intermediate points on chain line so that the measurements are along the line. The process of locating intermediate points on a survey line is known as Ranging.

Ranging Rods

  • A ranging rod is a surveying instrument used for marking the position of stations and for sightings of those stations
  • Ranging rods are 2 to 3 m long.​
  • They are usually circular in section with 30 mm diameter and are painted with 200 mm colour bands of red and white or with black and white.

Methods of Ranging

There are two methods of ranging-

  • Direct ranging
  • Indirect ranging

Direct Ranging

  • Direct ranging is possible when the stations are intervisible.
  • The ranging rod is held roughly in line
  • The surveyor directs the assistant to move the rod to the left or right until the three ranging rods appear to be in a straight line.

 

Indirect Ranging

Indirect Ranging is possible when the ends of a line are not inter-visible as in the case when a hill ground or when the distance between the stations are so large that they are not clearly inter-visible.

 

Intermediate points are fixed by the process of reciprocal ranging as explained below.

Let A and B be the ends of a survey line to be measured as a rising ground between them.

Two chain men with ranging rods take the positions M1 and N1 such that they are as nearly in line with A and B as they could judge the chain men at M1 could N1 and B.

And the chain men at N1 could see M1 and A.

First chain men at N1 directs M1 to M2 so that he comes in the line with A and N.

Then the chain man at M2 directs N1 to N2 such that he comes in line with B and M2.

The process is repeated so that they align each other successively directing each other until they are both finally in the line AB.

surveying part 11

By civilEngineering

surveying part 11

  • 535