According to RTU Syllabus

SURVEYING-II

CURVE SURVEYING

Part-4

Elements of Simple Circular Curve

Chainages of tangent point

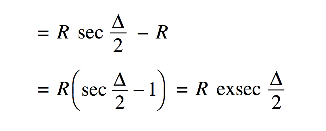
A circular curve has 300 m radius and 60° deflection angle. calculate (i) length of curve, (ii) tangent length, (iii) length of long chord, (iv) mid-ordinate and (v) apex distance.

Solution: R = 300 m D = 60°

 

 

 

 

Degrees of Curve

Methods of setting out of simple circular curves

ADITI SHARMA

surveying 2 part 4

By civilEngineering

surveying 2 part 4

  • 514