According to RTU Syllabus

SURVEYING-II

CURVE SURVEYING

Part-6

Degree of Curve

  •  The sharpness of the curve is designated by the radius of the curve and by the degree of curvature
  • There are two different definitions of degree of curvature:

(i) Arc Definition

(ii) Chord Definition.

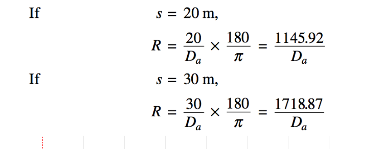
  • According to arc definition degree of curvature is defined as angle in degrees subtended by an arc of standard length.
  •  This definition is generally used in highway practice.
  • The length of standard arc used in FPS was 100 ft.
  • In SI it is taken as 30 m.
  • Some people take it as 20 m also.

Text

  • According to chord definition degree of curvature is defined as angle in degrees subtended by a chord of standard length.
  • This definition is commonly used in railways.
  • Earlier standard chord length used was 100 ft.
  • Now in SI 30 m or 20 m is used as standard chord length.

Chord Definition: Let Dc be degree of curve as per chord definition and s be the standard length of chord.

Methods of setting out of simple circular curves

ADITI SHARMA

surveying 2 part 6

By civilEngineering

surveying 2 part 6

  • 417