Cryptographic Protocols
State of TLS: Present and Future
David Leonard | Liron Shimrony
December 15th, 2015

Introduction
-
TLS 1.2 is not provably secure under the key-indistinguishability model. Using TLS-DHE, security of TLS can be proved
-
TLS 1.3 draft-05 uses multiple keys during the handshake and thus it is possible to prove standard key indistinguishability
-
OPTLS 1.3 adds support for 0-RTT, PSK and hopes to achieve elliptic curves implementations
TLS Protocol
-
The TLS (Transport Layer Security) protocol, allows a client and a server to authenticate with each other
-
The protocol consists of a handshake where the client proves that he who he claims to be and so is the server
-
After handshake is complete, the parties can exchange messages securely
TLS < 1.3 Handshake Protocol

-
Client and server exchange messages in TLS (<1.3)
- During the handshake process, 13 messages are exchanged and only one key is being generated
TLS Record Layer
- It fragments and reassembles the data coming from the application into manageable blocks
- It compresses the data and decompresses incoming data
- Applies a MAC to the data and uses the MAC to verify incoming data
- It encrypts the hashed data and decrypts incoming data
Insecurities in the Handshake Protocol
-
TLS Record layer exposes a method to check if a key is real or random
-
Last message sent in the handshake is the finished message
-
Used to protect against Man in the Middle attacks
-
Is encrypted using keys generated by TLS Handshake
-
-
Adversary can run a Test query using a challenge key
-
Adversary attempts to decrypt finished message using challenge key
-
Can now distinguish if the key was random or real
-
Solutions for proving security of TLS
-
Consider a truncated version of the TLS Handshake
-
Don’t encrypt the finished messages
-
-
Observe that the core protocol using Ephemeral Diffie-Hellman captures the security properties of both the TLS Handshake and Record Layer
Motivations of TLS-DHE
-
TLS-DHE provides perfect forward secrecy
-
As opposed to TLS-RSA
-
Attacker can use compromised key to decrypt previous session keys
-
-
Google is switching over all their services to TLS-DHE
Building Blocks for the TLS-DHE Model
Decisional Diffie-Hellman Assumption

Digital Signature Schemes

Pseudo-Random Functions

Collision-Resistant Hashing

Stateful Length-Hiding Authenticated Encryption
Prevents:
-
Replay attacks
-
Dropping messages
-
Re-ordering of messages
PRF-ODH


Authenticated Key Exchange Protocols
Adversary A:
-
Can perform adaptive corruptions
-
Has full control over the network
-
Can drop, insert, re-order messages
-
-
Has access to oracles representing parties in the protocol (server, client) and protocol instances
-
Can perform Send, Reveal, Corrupt, Test queries
Security of Authenticated Key Exchange Protocols
The Protocol is insecure if A can perform either of the following:
-
Causes an oracle (client or server) to accept maliciously
-
Answers the test query successfully
Security of Authenticated Key Exchange Protocol with Truncated TLS
A makes a client-oracle accept maliciously:

A makes a server-oracle accept maliciously:

A answers the Test query successfully:


+
Authenticated and Confidential Channel Establishment
-
Keys are generated in the pre-accept phase, mirrors Handshake Protocol in TLS
-
Data is encrypted and transmitted in post-accept phase, mirrors Record Layer in TLS
Constructing an ACCE Protocol
The Protocol is insecure if A can perform either of the following:
-
Causes an oracle to accept maliciously, known as an authentication-adversary
-
Answers the encryption challenge successfully
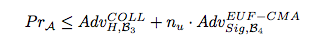
TLS with Ephemeral Diffie-Hellman is a Secure ACCE Protocol
Probability that an auth-adversary succeeds in making an oracle accept maliciously is:

Probability that an adversary succeeds in answering the encryption challenge correctly:


Need for PRF-ODH Assumption
A can perform a man in the middle attack to corrupt an oracle:

TLS 1.2 vs. TLS 1.3
-
Using intermediate keys. provide confidentiality of handshake data such as the client certificate
-
Signing the handshake transcript for authentication
-
Encrypting the Finished message in the handshake and the application data with different keys
-
Deprecating some cryptographic algorithms that were used in previous versions of TLS
-
Using authenticated encryption with associated data (AEAD) schemes for symmetric encryption
-
Less messages during handshake to reduce latency
TLS 1.3 Handshake Protocol
-
Client and server exchange messages in TLS
-
During the handshake process multiple keys are being generated

Adversary Model
-
We consider probabilistic polynomial time adversary
-
Listen to the network and can intercept, inject and drop messages
-
In order to keep track on the adversary success we add a LOST flag to our data and initialize it to false
-
Adversary Interactions:
-
NewSession
-
Send
-
Reveal
-
Corrupt
-
Test
-
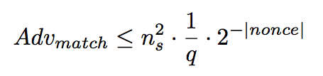
Match Security
Match security ensures that the session identifiers (sid) effectively match to the partnered session:
-
Sessions with the same session identifier for some stage:
-
Hold the same session key
-
Agree on that stage’s authentication level
-
Share the same contributive identifier at that stage
-
-
Sessions are partnered with the intended participant
-
Session identifiers are do not match at different stages
-
At most two sessions have the same session identifier at any stage

Multi-stage Security
-
TLS 1.3 provides Perfect Forward Secrecy by default
-
Keys are derived from HMS and Session_ID
Multi-Stage Security - Client Without a Parenter

Multi-Stage Security - Server Without a Partner

Multi-Stage Security - Server With a Partner

Multi-Stage Security - All Together

TLS 1.3 Advantages
-
Soundness of Key Separation
-
Key independence
-
Encryption of Handshake Messages
-
Session hash in key derivation
-
Upstream hashing for signatures
OPTLS
Goals
Created to replace many patches in the existing TLS protocol
Serve as a basis to TLS 1.3
Supports 0-RTT, 1-RTT
Forward security
Implement protocols using elliptic curves
Overview

-
Basic of OPTLS server authentication
-
Server posses signed certificate DH
-
is the server public key
-
s is the server secret key
-
Key derived from and
-
Provides security even if one of the keys is exposed
-
Outputs session key
Cached Keys and 0 - RTT
-
Example of 0 - RTT - search engine (Google)
-
First message exposed to replay attack
-
Protected under
Key Derivation
-
Keys are derived from and
-
Secure even if one key is exposed
Security Model
-
Each party can initiate or respond to an instance of the protocol
-
Parties maintain session state
-
Protocol outputs a session key
-
May be aborted without output.
Server Authentication
-
Each server has public and secret key
-
Clients can verify servers keys via trustful CA
-
Public key: static DH
-
Secret key: DH exponent (s)
Adversary Model
-
Probabilistic polynomial time
-
Adversary A has full control over the network (MITM)
-
Available queries:
-
StateReveal
-
Reveal
-
Corrupt
-
Basic Security
-
Match security
-
Two parties complete the protocol they output the same session key
-
If session is not exposed, the adversary advantage to guess if b=b’ is ½+negl
-
Perfect forward security
-
Sessions are secured even if one of the ephemeral DH keys are exposed
HKDF Assumption
-
HMAC Key Derivation Function (HKDF)
-
Using two steps mechanism: extract and expand
-
Extract: generate randomness from a secret input (not necessarily uniform) and outputs a uniformly random string
-
Expand: uses the generated string together with a PRF to generate keying material
Gap-DDH Assumption
- Given a cyclic group G of prime order p, the Computational Diffie-Hellman problem is:
- Given (g, , ) in G, computing is intractable
- Group G is a GDH group if the DDH problem is solvable in polynomial time while the CDH problem is unsolvable in poly-time
OPTLS Modes
-
1-RTT semi-static: The server has a semi-static which can support application data in 0-RTT mode
-
1-RTT non-static: No static and the ephemeral value acts as
-
PSK: Used with a pre-shared secret key
-
PSK-DHE: Augments PSK with Diffie-Hellman key exchange to obtain perfect secrecy
Key Derivations

1-RTT Semi-Static Mode
Assuming that HKDF is secure and both the Gap-DDH and DDH problems are hard:
-
Perfect forward secrecy with respect to the server secret and long-term signing key
-
Resilient to disclosure of ephemeral exponents with respect to the server’s exponent y

Early Application Data in 1-RTT
Client can use a cached ssks to send data using eadk. eadk is proven secure via the One-pass security model:
-
A can perform Reveal() and Test() queries with respect to eadk
-
Matching conversations are based on (chello, ssks)
If HKDF is secure and the Gap-DDH problem is hard, then this mode achieves One-pass security
1-RTT Non-Static Mode
Assuming that HKDF is secure and the DDH problem are hard:
-
Achieves perfect forward secrecy with respect to the server’s signing key
-
Not resilient to disclosure of ephemeral exponents

PSK and PSK-DHE
By the TLS protocol, allows a client and server to use an established secret to start a new connection via pre-shared mode
-
PSK achieves basic security if HKDF is secure
-
Does not achieve perfect forward secrecy
-
-
PSK-DHE achieves perfect forward secrecy (server’s psk) as well as resilience to leaked ephemeral exponents (server’s y) if HKDF is secure and the DDH problem is hard
-
Also holds for 0-RTT

Future Work
-
Prove security of session resumption without restarting the entire handshake
-
Security model of client-authentication
-
Security proof of universally-composable security via the client’s a MAC value of client’s third message
Copy of Cryptographic Protocols
By cryptography
Copy of Cryptographic Protocols
- 21