Postawy i zachowania dotyczące polityki wobec uchodźców w UE

Spotkanie Katedry Socjologii Polityki i Marketingu Politycznego (WNPiSM UW)

14 grudnia 2022

 

Natalia Letki oraz Dawid Walentek

O nas

  • Natalia Letki Kierownik Projektu
  • Dawid Walentek
  • Artem Graban
     
  • Ulf Liebe (University of Warwick)
  • Peter Thisted Dinesen (University College London)
     
  • Finansowanie: NCN Opus (2019/33/B/HS6/00841)
     
  • Zapraszamy na stronę projektu tutaj

Geneza

  • Kryzys migracyjny w 2015 roku
  • Budapeszt, Praga oraz Warszawa odmawiają udziału w programie relokacji uchodźców
  • Polityka dotycząca uchodźców w UE jest niejednolita
  • Kwestia polityki wobec uchodźców jest ważna i pilna (kryzys na granicy polsko-białoruskiej, rosyjska inwazja na Ukrainę)

Literatura

  • Preferowany profil uchodźcy oraz postawy wobec grup obcych  (np. Adida, Lo, Platas 2019)
  • Wpływ kontaktu na postawy wobec grup obcych (np. Schaub, Gereke, Baldassarri 2020)
  • Zmiany w zachowaniach wobec członków grup obcych (np. Alesina, Miano, Stancheva 2018)
  • Niewielka liczba badań dotyczących polityki wobec uchodźców:
    • ​Niektóre koncentrują się wyłącznie na zagadnieniu relokacji (Bansak, Hainmueller, Hangartner 2017)
    • Inne proponują modele polityki, które nie są możliwe w obecnych ramach prawnych  (Jeannet, Heidland, Ruhs 2021), lub
    • ​Opierają się na wskaźnikach o niskiej precyzji, np. "government should be generous in judging  asylum applications" (Van Hootegem, Meuleman, Abts 2020).

Nasz projekt

  • Naszym celem było określenie jakiej polityki wobec uchodźców oczekują obywatele UE.
  • Badamy postawy dotyczące:
    • alokacji uchodźców do państw członkowskich
    • poziomu ochrony granic Unii
    • prawa do pracy i
    • możliwości (swobodnego) przemieszczania się w obrębie kraju w trakcie procedury azylowej, oraz
    • kosztu polityki.
  • Badamy relację pomiędzy postawami a zachowaniami.
  • Zajmujemy się również wpływem mediów na postawy i zachowania wobec polityki dotyczącej uchodźców

Dane
oraz metodologia

Dane

  • Ankieta (online) styczeń-luty 2022 
  • 10 krajów UE
  • 16,976 ankietowanych
  • 4 grupy eksperymentalne
  • 3 elementy składowe
    • conjoint
    • real-effort
    • kwestionariusz
  • Druga fala (DE, PL oraz HU) marzec-kwiecień 2022
  • Prerejstracja z EGAP (obecnie OSF)

Efekt mediów

  • Ekspozycja grup eksperymentalnych na bodźce wizualne
  • Trzy motywy popularne w mediach w kontekście dyskusji
    o uchodźcach:
    • Obciążenie państwa opiekuńczego;
    • Bezpieczeństwo państwa i obywateli;
    • Pomoc humanitarna.
  • Wykorzystano zdjęcia szeroko używane w mediach we wskazanych kontekstach;
    • Zdjęciom towarzyszył krótki opis.
  • Czwarta grupa eksperymentalna otrzymała informację dotycząca obecnej polityku (Status Quo) jako bodziec wyłącznie oparty na tekście.

Bodźce

Metodologia: Conjoint

  • Pełna randomizacja
  • 5 atrybutów oraz 12 poziomów dających 72 wersji (profili) polityki
  • Ankietowani 6 razy wskazywali preferowaną z pary losowo wygenerowanych polityk
  • Co dało 101,856 podjętych decyzji oraz 203,712 ocenionych (skala 1-7) profili
  • Każdy profil pojawił się około 2829 razy

Metodolgia: Real effort

  • Ostatnia część ankiety
  • Ankietowani najpierw otrzymali ogólne informacje na temat International Rescue Committee
  • Następnie ankietowani mieli możliwość przekazania połowy wynagrodzenia za udział w ankiecie (około 7 PLN) na rzecz IRC 

Wyniki

Wyniki: AMCE vs MM

  • Average Marginal Component Effects (AMCE) - wpływ (przyczynowy) poziomu atrybutu, w odniesieniu do poziomu bazowego, na przychylność wobec profilu polityki (Hainmueller et al. 2014)
  • Marginal Means (MM) - ogólne preferencje dotyczące poziomów atrybutów i przychylności wobec profilu polityku, szczególnie przydatny w analizie podgrup (Leeper et al. 2020)

Conjoint: grupa kontrolna

  • Alokacja nie odgrywa znaczącej roli
  • Preferencje dla:
    • zwiększenia ochrony granic;
    • ograniczonej swobody przemieszczania się;
    • prawa do pracy (niechęć wobec alternatywy).
  • Niechęć wobec drogiej polityki i preferencje dla taniej.

Preferencje dotyczące alokacji uchodźców: różnice na poziomie krajów

Preferencje dotyczące alokacji uchodźców: różnice na poziomie krajów

  • Duże zróżnicowanie preferencji w kwestii alokacji uchodzców:
    • DE, ES, AU oraz DEN nieprzychylne wobec Statusu Quo, a HU oraz SL przychylne wobec Statusu Quo w kwestii alokacji
    • DE, ES, AU i PT przychylne wobec relokacji, a HU przeciwne
    • Wszystkie kraje obojętne wobec solidarności fiskalnej oprócz (przychylnej) DEN i (nieprzychylnej) PT
    • NB: DE, ES oraz AU otrzymują największą liczbę wniosków o azyl, a HU najmniejszą (Eurostat)
  • Praktycznie żadnych znaczących różnic w odniesieniu do  pozostałych aspektów polityki wobec uchodźców pomiędzy krajami członkowskimi.

Rola preferencji politycznych

  • Preferencje polityczne: skala od 0 do 10, od lewicy do prawicy

 

  • Prawica bardziej restrykcyjna, lewica bardziej otwarta

 

  • Jednak lewica również przeciw swobodnemu przemieszczaniu się oraz solidarności fiskalnej

Zachowanie wobec uchodźców (real effort)

  • Grupa kontrolna:
    • PL, DE i BG ~ 25%
    • HU i SL ~ 30%
    • AU i HR ~ 35%
  • Grupy eksperymentalne:
    • tylko bodziec pomocy humanitarnej ma wpływ: 5% więcej osób przekazało datek
    • poprawka Bonferroni
    • FE na poziomie NUTS 2

Real effort a postawy

  • Poziom etnocentryzmu warunkuje wpływ bodźca dotyczącego pomocy humanitarnej.

 

  • Bodziec dotyczący pomocy humanitarnej nie wpływa na osoby o wysokim poziomie etnocentryzmu.

 

  • Miara etnocentryzmu oparta na zestawie pytań z kwestionariusza.

Panel

  • Trzy kraje, kwiecień i maj 2022
    • Niemcy, Polska i Węgry
  • Dwie próby
    • ponowny kontakt z badanymi z pierwszej fali (wiele trudności)
    • nowa próba
  • Badanie motywowane inwazją Rosji na Ukrainę 

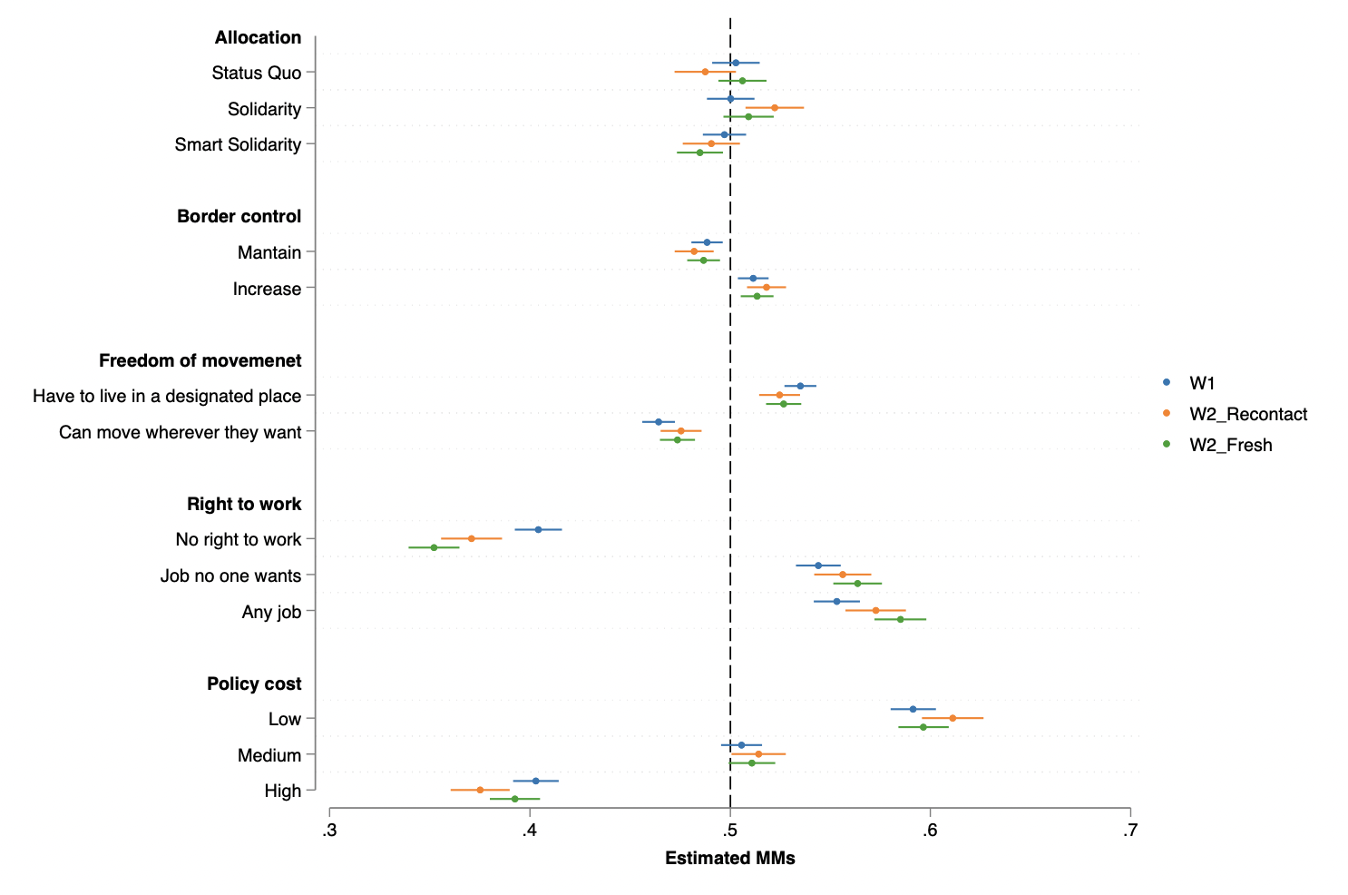
Panel: preferencje dotyczące polityki 

  • Niezmienione preferencje (oraz rating!) atrybutów i ich poziomów
  • Niewielkie zmiany w zakresie rynku pracy (liberalizacja postaw)
  • Niewielkie zmiany w kwestii mobilności uchodźców (również liberalizacja postaw)

Panel: Real Effort

  • Niższy poziom datków.

 

  • Podobna dynamika w w obu grupach.

Dyskusja

Czego się dowiedzieliśmy?

  • Brak zgody w kwestii relokacji: fiskalna solidarność nie satysfakcjonuje tych, do których jest kierowana (PL, HU).
  • Zgodność obywateli UE w kwestiach prawa do pracy, swobody poruszania się, ochrony granic oraz kosztów polityki:
    • Europejczycy są otwarci na rynku pracy, ale nie na ulicach
    • Koszty polityki oraz granice stanowią zmartwienie europejczyków
  • Istotny wpływ bodźca pomocy humanitarnej na zachowanie, jednak nie dla wszystkich (etnocentryzm).
  • Stabilność preferencji, pomimo wojny u granic UE.
  • Spadek gotowości do przekazania datku dla IRC.

Działania Zespołu

Publikacje:

  • 3 artykuły w recenzji (British Journal of Political Science, West European Politics, Journal of Politics)
  • 5 artykułów w przygotowaniu (w tym 2 w ramach rozprawy doktorskiej mgr Artema Grabana)
  • 4 artykuły planowane

 

6 międzynarodowych wystąpień konferencyjnych (w tym zaproszone wykłady)

 

Grant Nowe Idee IDUB na projekt w składzie Letki-Walentek-Liebe; wyłoniony wykonawca, złożony registered report w Nature Communications, w styczniu planowane zbieranie danych.

Dziękujemy!

Postawy i zachowania dotyczące polityki wobec uchodźców w UE @WNPiSM UW

By Dawid Walentek

Postawy i zachowania dotyczące polityki wobec uchodźców w UE @WNPiSM UW

  • 113