TECNICHE "SEGRETE" DI LINK BUILDING
Padova WP Meetup 21.11.2017


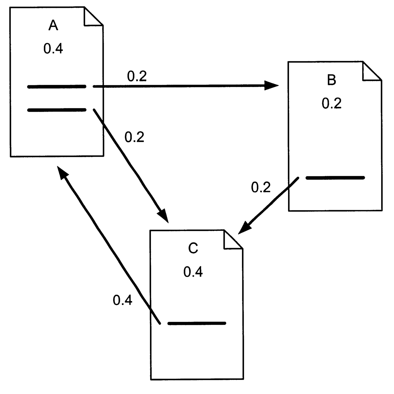
Perché sono importanti i backlink?
Un importante parametro dell'algoritmo di Google è basato sull'evoluzione del PageRank (brevetto US6285999B1) dove viene assegnato un valore a ogni collegamento tra documenti e quindi conteggiato il valore di ogni documento.
PageRank

Il documento con il punteggio più alto e con più backlink, sarà quello che si posizionerà meglio nella SERP.
Perché sono importanti i backlink di qualità?
Con l'introduzione, nell'algoritmo di Google, della link quality score (brevetto US9002832B1) è necessario considerare la qualità dei siti che ci linkano.
Link quality score
Inoltre è fondamentale non alterare la naturalezza della propria link popularity (Penguin Update)

Perché sono importanti i backlink di qualità?
1. How search algorithms work: www.google.com/search/howsearchworks/algorithms/
2. Google ranking signals in 2017: searchengineland.com/8-major-google-ranking-signals-2017-278450
3. The State of Links: moz.com/blog/state-of-links
4. Content and Links Are Key: backlinko.com/seo-this-year#chapter7
Letture consigliate
COSA FA UN LINK BUILDER?
Come mi vedono i colleghi

Come mi vedono gli amici

Come mi vede mia madre

Come mi vedo io

Cosa faccio in realtà

CREA UN BLOG!

www.esempio.com/blog
TECNICA 1
Pingback
https://en.support.wordpress.com/comments/pingbacks/

Giulia: la fashion blogger
Giulia si scatta un selfie indossando il suo ultimo outfit.

Giulia: la fashion blogger
Giulia pubblica un post con il selfie e la descrizione del suo ultimo outfit, all'interno suo blog.

Franco: il SEO (link builder)
Franco legge il post di Giulia.
Trova che possa essere interessante come spunto per il blog dell'ecommerce di abbigliamento per cui lavora come SEO.

Franco: il SEO (link builder)
Franco scrive un post nel blog aziendale.
Inserisce un link verso il blog di Giulia.
In automatico WordPress invia un Pingback a Giulia.

Giulia: la fashion blogger
Giulia riceve la notifica ed è onorata di essere menzionata in un blog.
Approva la pubblicazione del Pingback nei commenti del suo ultimo post.

Il Pingback
Come appare il pingback nel blog di Giulia
Da ricordare
- non viene accettato da tutti i blog,
- non viene approvato da tutti i blog,
- viene inserito nei commenti,
- nel 99,9% dei casi ha attributo nofollow.
Il Pingback
Tools molto utili
ScreamingFrog
https://www.screamingfrog.co.uk/seo-spider/

- Free: scansiona fino a 500 url
- 149£/anno: illimitato
Xenu Link Sleuth
http://home.snafu.de/tilman/xenulink.html
- Gratuito: illimitato

Email temporanea
https://www.mohmal.com/it/
Utile per ottenere free trial senza ricevere spam
Nord VPN
https://free.nordvpn.com/
- 3 giorni gratuito
- rinnovo mensile: 11,95$/mese
- rinnovo annuale: 5,75$/mese

TECNICA 2
Sfruttare i 404
"Ci sono blog che linkano altri blog che poi cancellano o spostano i contenuti"
Attiva la VPN
Cambia user agent


Scrivi l'url del sito da dove vuoi avere un backlink

Clicca su "Start"
Fai lavorare la rana
(se usi ScreamingFrog)

Fai lavorare l'alieno
(se usi Xenu)

Individua i 404
Vai nella tab "External" e ordina per status code.
Seleziona gli indirizzi che hanno status code 404 e che potrebbero essere dei post.

Verifica che sia un link citato nel post
Vai nella tab "inlinks".
Copia "from url" & incollalo nel browser. Verifica che sia presente il link che restituisce il 404 all'interno del post e non nei commenti.

Usa Web Archive
Vai al sito http://web.archive.org.
Cerca una vecchia copia del post non più presente nel web.

Verifica unicità post
Verifica che il post non sia pubblicato altrove.
Copia/incolla nella ricerca di Google porzioni di testo.
Scrivi un post simile
Vai nel tuo blog.
Scrivi e pubblica un post simile a quello che è linkato, ma che è stato cancellato.

Contatta il blog
Contatta il proprietario del blog dove hai trovato il 404.

Avvisalo che nel suo articolo è presente un link a un post non più esistente.
E segnala che nel tuo blog (fatalità), ve ne è uno molto attinente all'argomento.
Goditi il tuo backlink (se viene pubblicato)

TECNICA 3
Domini scaduti
"Ci sono siti che
linkano altri siti che
poi all'improvviso muoiono"
-
il sito di un concorrente,
-
il blog di un concorrente,
-
un sito istituzionale,
-
un blog autorevole,
-
ecc..
Individua il sito
-
attiva VPN,
-
cambia user agent,
-
avvia ScreamingFrog (o Xenu)
Scansiona il sito
Vai nella tab "External" e ordina per status code.
Seleziona gli indirizzi che restituiscono "DNS lookup failed"
Individua potenziali domini scaduti

Verifica che i domini siano realmente scaduti.
Potrebbero avere solo i DNS non configurati.
Verifica domini scaduti
Verifica massiva
Verifica singola
Open Site Explorer (moz.com/researchtools/ose/).
Un occhio di riguardo per "Linking Domains" e "Anchor Text"
Analizza profilo backlink

Sono i domini che linkano questo dominio (su target seleziona "this root domain").
Nell'esempio, ci sono 5 domini.
Linking Domains

Analizziamo gli anchor text con i quali è collegato agli altri siti.
Anchor Text

In base agli anchor text dei backlink, tomatoexpo2015.com può essere utile per un food-blog, per un ecommerce di frutta e verdura, ecc..
Valutazione finale

Si registra il dominio!
Ora cosa si fa?
...e poi?
REDIRECT 301
BLOG/SITO
oppure
Si fanno reindirizzare tutte le pagine del vecchio sito (utile guardare la vecchia versione su web.archiveorg) a quelle del nostro.
Redirect 301
Possono essere
- tutte verso la home,
- tutte verso una pagina specifica,
- divise in più pagine.
Si crea un mini-sito o un blog sulla tematica del sito precedente (utile vedere la vecchia versione su web.archive.org).
Sito/Blog
Si crea 1 backlink verso il sito target (ecommerce, blog, sito aziendale, ecc.)
Regola fondamentale:
Nessuna avidità di link!






Tecniche segrete di Linkbuilding
By Federico Degan
Tecniche segrete di Linkbuilding
3 tecniche "segrete", o quasi, per ottenere link naturali al tuo sito.
- 715
