Занятие 6.
Жизненный цикл и взаимодействие компонентов


SIS.Angular.2018
Кернер Денис

Обо мне
Работаю в СИС с 2009 г.
C 2012 года веду группу разработчиков.
До 2015 года разрабатывал модули к системе федерального уровня для ПФР - ПТК АСВ.
С 2015 года разрабатываю модули к системе Эталон.
В этом году перехожу со стека Intersystems Cache + Adobe Flex на
Java и Angular.
В свободное время иногда пишу всякое на https://github.com/Bael
Из неформального:
Воспитываю с женой двоих сыновей. Или они нас.
Любимые писатели - Терри Пратчетт, Дэн Симмонс, Джим Батчер, Дэн Абнетт, Урсуна ле Гуин, Джордж Мартин
План занятия
- Вопросы по предыдущему занятию
- Жизненный цикл
- Взаимодействие компонентов. Туда и обратно
- Практика. Kanban (управление задачами)
- Итоги. Домашнее задание
Домашняя работа №5
Что понравилось:
1. Реализация вкладок и использование localStorage во многих работах
2. Код хорошо структурирован, разбираться в нем стало проще.
3. Улучшилось форматирование в работах.
4. Использование OnInit
В чем были проблемы:
1. Прямая работа с DOM.
2. Id в html.
3. Неиспользуемый код.
4. Беспорядок в репозиториях.
У всего есть жизненный цикл:

Как компонент превращается в элемент HTML?
Создание
компонента
Инъекция зависимостей
Создание узла DOM (host)
Повторить для дочерних компонентов
Запустить цикл отслеживания изменений (хуки)
Angular уничтожает элемент


Работа компонента
Хуки жизненного цикла компонента

О чем нужно помнить:
Конструктор vs ngOnInit
В конструкторе - не должно быть тяжелой логики и загрузки данных. Это лучше делать в ngOnInit
Имплементируем интерфейсы
Это нужно делать обязательно, для того чтобы typescript знал об интерфейсах класса
Не забываем очистку на ngOnDestroy
Отписка от событий
Отписка от наблюдаемых объектов.
Сброс таймеров

Полезные ссылки
Взаимодействие компонентов
Зачем нужно обмениваться информацией?
Какие виды обмена данными внутри иерархии компонентов нам нужны?
От родительского к дочерним

Декоратор @Input() (в качестве параметра в декоратор можно передать alias)
Декоратор @Input() + setter (полезно в случае необходимости пост обработки введенных данных)
Template variable
Схема передачи данных
parent.component.ts
selectedStage:Stage
parent.component.html
<app-parent [stage]=selectedStage >
child.component.ts
@Input() stage;
Пример применения @Input:
import {Component, Input, OnInit} from '@angular/core';
import {Stage} from '../stage';
@Component({
...
})
export class StageComponent implements OnInit {
@Input()
stage: Stage; // можно также ставить декоратор на сеттер.
<app-stage [stage]="selectedStage"></app-stage>
selectedStage: Stage;
Класс родительского компонента
Шаблон родительского компонента
Класс дочернего компонента
От родительского к дочерним. Еще способы:
-
Переменная шаблона: #var
-
@ViewChild
-
ngOnChanges - расширение идеи с @Input
-
Сервисы - рассмотрим через несколько занятий.
Переменная шаблона:
Переменная шаблона, она же template reference variable:
Именуется как #var.
Область действия - весь шаблон.
<div class="seconds">{{timer.seconds}}</div>
<app-countdown-timer #timer></app-countdown-timer>
От дочернего компонента к родителю
Шаблон дочернего компонента.html
при нажатии кнопки вызываем метод компонента
Дочерний компонент.ts
Определяем @Output эмиттер и метод компонента для бросания события через эмиттер.
Шаблон родительского компонента.html
привязка метода для обработки события
Класс родительского компонента.html
метод для обработки события

Пример @Output: шаг 1
// Типизированный объект отправки событий (эмиттер) + декоратор
@Output()
changeStage: EventEmitter<Task> = new EventEmitter<Task>();
// Функция которая будет бросать событие.
// Обычно вызывается из шаблона компонента
onSelected(stageName: string) {
this.task.stage =
this.stages.find(val => val.name === stageName);
this.changeStage.emit(this.task);
}
Пример @Output: шаг 2
<app-task [task]="task" (changeStage)="onChangeTaskState($event)" >
</app-task>
onChangeTaskState($event: Task) {
this.tasks = this.tasks.filter(value => value !== $event);
}
Полезные ссылки по взаимодействию компонентов
Обобщения (generics)
https://www.typescriptlang.org/docs/handbook/generics.html
Взаимодействие компонентов
https://angular.io/guide/component-interaction
https://abraxabra.ru/blog/angular/angular-2-components-inputs-and-outputs/
А как же практика?

Давайте применим полученные знания по @Input и @Output.
Давайте построим доску Kanban
Kanban
По столбцам стадии решения задачи. В строках - задачи. Задачи вытягиваются вперед.

Kanban
Пример:

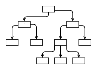
Структура приложения
Компонент доски
Компонент стадии №1
Компонент стадии №2
Компонент
задачи #1
Компонент
задачи #2
Шаг 1
Создаем компоненты
Board
Stage
Task
Шаг 2
Прокидываем данные сверху вниз
Шаг 3
Бросаем события снизу вверх
Шаг 3. Завершение
Стилизация и улучшения
Применение шаблонной переменной
Дополнительные ресурсы для изучения
Домашнее задание
- Улучшаем канбан :)
- Двигаем назад. Добавляем фичи.
- Сдаем через неделю :)!
Спасибо за внимание!
Вопросы?

lesson 6
By Dennis Kerner
lesson 6
- 604