USING DATA SCIENCE TO UNDERSTAND GENDER GAP IN THE FILM INDUSTRY
Dima Kagan, Thomas Chesney, and Michael Fire

Data SCIENCE
Network Science
Big Data 3Vs

CREATING MASSIVE NETWORK DATASETS
Fire, Michael, and Carlos Guestrin. "The Rise and Fall of Network Stars: Analyzing 2.5 million graphs to reveal how high-degree vertices emerge over time," Information Processing & Management (2019)





- Titles: 5,487,394
- Full-Length Movies: 505,380
- Actor: 24,496,030
- Actress: 15,549,871
Movies Data
Constructing Movie Social Networks

Constructing Movie Social Networks

Constructing Movie Social Networks
W=W+1
Challenges

Am I to understand you're still hanging
around with Dr. Emmett Brown, McFly?



Marty McFly
Lorraine McFly
George McFly





15,540
7,322
Subtitles
Cast Data
Cast Data

THE SCULLY EFFECT
- Nearly two-thirds (63%) of women who are familiar with Dana Scully say she increased their belief in the importance of STEM.
- Among women who are familiar with Scully’s character, half (50%) say Scully increased their interest in STEM.
- Entertainment media is influential in shaping life choices
THE SCULLY EFFECT: I WANT TO BELIEVE IN STEM Research by 21st Century Fox, Geena Davis Institute on Gender in Media, and J. Walter Thompson Intelligence

Research questions
-
Are there movie genres that do not exhibit a gender gap?
-
What do characters' relationships reveal about gender, and how has this changed over time?
-
Are women receiving more central movie roles today than in the past?
-
How has the fairness of female representation in movies changed over the years?
What can we do about it?

Features
Network Features





Vertex Feature
Gender Representation
Movie Feature
Actor Features





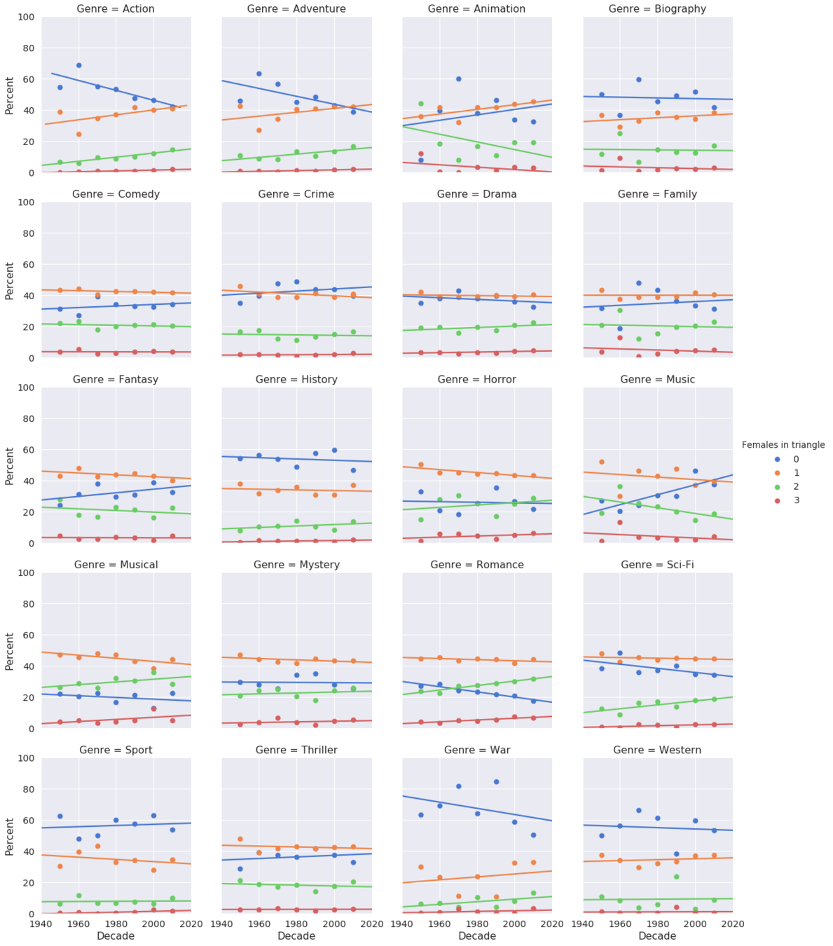
Relationship triangles
Change in Relationship triangles over time

Top-10 Roles Distribution


BECHDEL TEST
- The movie has to have at least two women in it,
- who talk to each other,
- about something besides a man
Bechdel Test Classifier

| Feature | Feature Importance |
|---|---|
| Percent of Triangles of 2 Women | 0.15797 |
| Percent of Triangles of 0 Women | 0.14502 |
| Females in Top 10 Roles | 0.13659 |
| Percent of Triangles of 3 Women | 0.12058 |
| Triangles of 3 Women | 0.0743 |
Bechdel Test Classifier

ALTERNATIVE TEST
0.8< \frac{TotalDegree_F}{TotalDegree_M} <1.2
- It is easy to pass the Bechdel-Test.
- We found that 55.8% of movies the total degree of male characters is at least twice as high as female characters.
-
A good test could be:
-
Sadly today only 12% of all movies pass this test
NetSci2019 - Subs2Net
By Dima Kagan
NetSci2019 - Subs2Net
- 275
