Workshop AI & Neuroscience
February 3rd, 2026




Nicolas Rochet
Matthieu Gilson
Who am i ?


Data for Good provence

Phd Neurosciences @AMU
Senior data scientist
My activities
Teaching
Data Science & AI
Responsible AI
Consulting
R&D
Data engineering
Some project related to academic research
R&D project:
teacher GPT
Support to data analysis & modeling
projet Brain-MuSE
Teacher at
DESU Data Science
A brief tour to AI
A broad definition
A set of theories and techniques that give machines the ability to perform tasks attributed to intelligent beings.
Overview of AI domains
Knowledge
&
Reasoning
Problem
Soving
Neuro
Symbolic
Natural Langage
Processing
Computer Vision
Robotics
Machine
Learning
Symbolic
Statistical
A brief history of AI
50
>2011
93-2011
87-93
80-87
74-80
56-74
AI birth
1st winter
1st golden age
2nd golden age
2nd winter
discrete maturity
Explosion of
deep learning
>2019
rise of GenAI
from Machine Learning to Generative models
Machine Learning
Supervised learning
...
Self supervised learning
Unsupervised learning
Semi Supervised learning
Reinforcement learning

"machine learning is the most popular domain of AI

0
data
target
Only a few data points are labeled

to deep learning & generative AI
Transformers

...
+
Large Langage Models (LLMs)
Vision Langage Models (VLMs)

Machine Learning
Deep Neural Networks
Transformers
Trained on huge datasets ...
... to predict tokens from text
Simplified exemple for training LLMs
"machine learning is the most popular domain of AI
Models capable of generalization




The model have learned representations
Simplified exemple of inference
Tokens generation
Re training
part of the model


fine tuning
As a neuroscientist working on imaging data ...
context : prompt
ex : Retrieval Augmented Generation (RAG)
+
Specialization
Inference
Generative AI capacities

Small
Medium
Large
~1.5b - 5b
> 100b
~10b - 35b
3 basic sizes of models

A program that can interact with its environment, gather data, and use them to achieve predetermined goals
AI as a tool for scientists
3 levels of applications
Groups / units
Departement / Community
Researcher
as a personnel assitant
for data analysis / modeling
Mutualisation : data, code, models
Automated pipeline
Governance
AI Agents
Model training
Infrastructures
AI as an assitant
Task automation
Assistance for data analysis
Text generation
Coding assitant
Automatic summary
Information
extraction







Generic AI agents
Open
Closed
Specialised agents

A scholarly research assistant that combines literature understanding and data-driven discovery
Fully open : data, model, code !
Find information
Analyze scientific evidence
Summarize
AI for data analysis
Supervised
learning
Unsupervised learning
Clustering
Embeddings
Signal processing
Classification
Regression
Image processing
Time series analysis
Modeling
Optimisation
data mining
Reinforcement learning
Self supervised learning
with human feedback
Natural Langage processing
Generative models
Steps for AI deployment
Data collection
Data structuration
Data transformation
Data exploration
Modelisation
Training
Pipelines
Documentation
Inference
Fine tuning
specialization
Deployment
Governance
Mutualization
Automation
Towards sovereignty ?
Self hosting
Software as a Service

Ready to use (cloud)
Regards concerning ethics
Limited customization
Need to build or deploy an infrastructure
Maintenance : partial or total
No maintenance
Better control on data & process
Open source allows customization
Limitations & Challenges
Machine learning limitations
Data quality is essential !

Statistical nature of ML models

Neural network are black box models
Lack of interpretability

Need for computational power

Possible dependance to (non ethical) providers

Responsible AI principles
Interpretability
Transparence
Frugality
Equity
Investigate for bias in data & models
Respect privacy
Investigate impact on users
avoid black boxes models
Minimize ecological footprint :
at training
Favor openness :
Training data, models, code
models are approximations
at inference
A long jouney to AI
Democratizing & deploying AI is a long journey !

AI & neurosciences
AI for neuroimaging
Study objective
Models
Modality
Epileptic focus localization
PET
Support Vector Machine
Functional connectivity mapping for schizophrenia
fMRI
Dynamic Causal Models
Unet
Brain tumor segmentation
MRI
Mood prediction
EEG, fMRI
Graph Neural Network
Generative Adversarial Network
Transformers
Multimodal imaging fusion
MR, PET
...
AI for Neural Signal Processing
Study objective
Models
Modality
BCI signal decoding
EEG
Convolutionnal Neural Network (CNN)
High speed decoding of movement intentions
Electrocorticography
Reinforcement Learning
Neural oscillation analysis for memory
EEG, MEG
Transformers
AI as Tool versus Model
complex data analyis
prognosis for ALS
cognitive information processing

Schrimpf et al. Nat Neurosci 2018


Appukuttan, ..., Zaaraoui, Gilson 2025
multimodal fusion, interpretability
Model Optimization

estimate best parameters for data
statistical mapping parameters-observables
Behavior Monitoring


Reuse Pretrained Tools: Data are Crucial


imagenet
melanoma

3d brain image

Adapt Pretrained Models, Data-Driven Tools

good news: you have data
"bad" news: it's not magic, it's a process where you build your tools
Tools Shape Us: Don't be Enslaved by Tools


AI Agent for Scientific Production

AI Agent for Scientific Production

Feel the Magic in the Air...





https://theconversation.com


... Winter is Coming
Marseille’s Ecosystem for AI in Neuroscience







NeuroTrips
UAR multi-eng
CEDRE

Marseille's Neuroscience Community


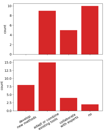
self-rated level
practice

beg
adv
Tools: Algorithms, Architectures and Applications

Applications and Data




SORRY FOR AWFUL GENDER BALANCE, HELP US!!!
Workshop IA & Neurosciences - NeuroMarseille
By Nicolas Rochet
Workshop IA & Neurosciences - NeuroMarseille
Tour d'horizon des outils utilsant l'IA
- 25