''Biri''

A semantic conversational agent

Emrah Budur

2016800036

CMPE 597 - Deep Learning - Project Proposal

Emerging fields

  • Chatbots : A new medium of communication
    • Websites > Mobile sites > Mobile App > Chatbots

                                              +

  • Deep Learning : Extracting meaningful information

"Bilgili Biri"

Semantic Similarity

Baseline Solution

- IDF + Word2Vec + Cosine Similarity - 

- Test set: 8000 labeled variant utterance of questions  - 

Related works

Dual Encoder

Adopted from

http://www.wildml.com/2016/07/deep-learning-for-chatbots-2-retrieval-based-model-tensorflow/

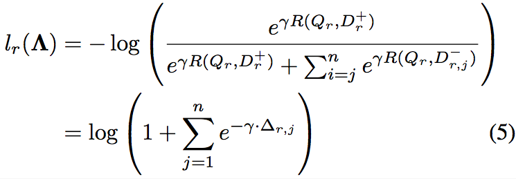
Loss function

Data

- Available data : 800 questions - 

Data Augmentation

- Naive augmentation - 

Data Augmentation

- Augmentation with dependency parser - 

Benchmarking

  • Bilgili Biri ?

 

  • Wor2Vec + IDF + Cosine Similarity ?

 

  • Doc2Vec ?

- Recall @ k - 

''Bilgili Biri''

Thank

You

Semantic Conversational Agent (Biri)

By Emrah Budur

Semantic Conversational Agent (Biri)

  • 381