Title Text

 

University of Delaware

Department of Physics and Astronomy

 

Biden School of Public Policy and Administration

Data  Science Institute

 

Rubin Observatory Construction Project - Deputy Project Scientist

Rubin Transients and Variable Stars Science Collaboration

 

         

               

federica bianco - Associate Professor

(she/her)

vicky scowcroft (cosmology lectures)

H0 measurements over time 

 

Hubble, 1929

75

H0 measurements over time 

 

~1000 SNe

adapted from Freedman et al. 2017 & Perivolaropoulos and Skara 2022

stochastic or random errors

unpredictable uncertainty in a measurement

due to lack of sensitivity in the measurement or

to stochasticity in a process

2.0 +/- ε cm, ε > 0.1 cm

stochastic or random errors

1) As the size of a sample tends to infinity the mean of the sample tends to the mean of the population

2) Count statistics follow a Poisson distribution with mean λ = N number of counts

if λ is large (>30) Poisson ~ Gaussian

 

\hat{X} \sim N(\lambda, \sqrt{\lambda})

For inherently random phenomena that involve counting individual events or occurrences, we measure only a single number N. This kind of measurement is relevant to counting the number of radioactive decays in a specific time interval from a sample of material. It is also relevant to counting the number of Lutherans in a random sample of the population. The (absolute) uncertainty of such a single measurement, N, is estimated as the square root of N.

As example, if we measure 50 radioactive decays in 1 second we should present the result as 50±7 decays per second.

https://www.edouniversity.edu.ng/oerrepository/articles/phy_119_general_physics_practical_20182019.pdf

systematic errors

2.5

reproducible inaccuracy introduced by faulty equipment, calibration, or technique.

2.7 => 2.5 + 0.2 +/- 0.1

systematic errors

2.5

reproducible inaccuracy introduced by faulty equipment, calibration, or technique.

2.7 => 2.5 + ? +/- 0.1

  • Measurements are taken at  22 C with a steel rule calibrated at 15 C. This is a systematic bias and not a systematic uncertainty
  • Brightness is known, distance is estimated accordingly. In space interstellar dust can make sources dimmer, but not brighter.        systematic uncertainty
 
 

Stochastic vs Systematics

 
Statistical Systematic
No preferred direction Biases the measurement in one direction
Shrinks with the sample size (typically as              ) Affects the sample regardless of the size
Typically Gaussian or Poisson Any distribution, including constant
\sqrt{N}

Precision vs Accuracy

 

Accuracy

Precision

SN are enable life in the Universe

 

 

SN are natural extreme physics laboratories

 

 

SN trace the evolution of the Universe

Reason to study Supernovae

100 Msun

0.08 Msun

mass

slow death fading away

explosive death

Twinkle twinkle little star  

I'm aware of what you are

you are a glowing ball of gas

how you live depends on mass

Adapted from Prof. Viviana Aquaviva

luminosity

temperature

lives of stars

high initial mass

8-100 MSun

live fast and die in spectacular explosions

t_\mathrm{MS; Sun} = \mathrm{10 ~Billion~ years}

lives of stars

\frac{t_\mathrm{MS}}{t_\mathrm{Sun}} = \left(\frac{M_\mathrm{Sun}}{M}\right)^{2.5}

….. live to be old and die peacefully by slowly cooling down

low initial mass

0.1-8 MSun

t_\mathrm{MS; Sun} = \mathrm{10 ~Billion~ years}

lives of stars

\frac{t_\mathrm{MS}}{t_\mathrm{Sun}} = \left(\frac{M_\mathrm{Sun}}{M}\right)^{2.5}

low initial mass but with a sibling 

even a low mass start will explode if its in a binary system and captures mass from the companion

lives of stars

explosions in the sky

how we study SNe

how we study SNe

SN Ia cosmology

luminosity ~ time

Nobel Prize winning - SN Ia

\mu_0 = m_0 - M_0 = 5 \log{D} + 25 [Mpc]\\

S. Perlmutter

A.Riess, B. Schmidt

 

SN Ia are standardizable candles

SN Ia are standardizable candles

\mu = m_B + \alpha x_1 - \beta c - M

stretch

color

SN Ia are standardizable candles

\mu = m_B + \alpha x_1 - \beta c - M

Nobel Prize winning - SN Ia

\mu_0 = m_0 - M_0 = 5 \log{D} + 25 [Mpc]\\
\mu_0 = 43.17 - 5\log_{10}(\frac{H_0}{70 \frac{m}{s~Mpc}}) + 5\log_{10}(z)+1.086(1-q_0)z

Hubble 1929

Nobel Prize winning - SN Ia

\mu_0 = m_0 - M_0 = 5 \log{D} + 25 [Mpc]\\
\mu_0 = 43.17 - 5\log_{10}(\frac{H_0}{70 \frac{m}{s~Mpc}}) + 5\log_{10}(z)+1.086(1-q_0)z
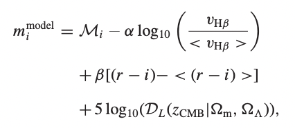
\mu_{i}^{model}(z_{i};\Omega_{m},w_{0}) \propto 5log_{10}(\frac{c(1+z)}{h_{0}})\int_{0}^{z}\frac{dz'}{E(z')}\\ E(z) = \sqrt{\Omega_{m} (1+z)^{3} + (1-\Omega_{m})e^{3\int_{0}^{z} dln(1+z')[1+w(z')]}}

derived from SN Ia

derived from SN II

H0 measurements over time 

 

~1000 SNe

Systematics affecting SN cosmology

"The statistical and systematic uncertainties in recent SN Ia cosmology analyses have been roughly equal."

279 spectroscopically confirmed SNe

~1000 SNe

adapted from Freedman et al. 2017 & Perivolaropoulos and Skara 2022

z=2 =>8.2 billion years

What could explain the tension? (hint: at least 3 things)

I : SN Ia cosmology

 Sample Purity

I. Selecting the right SN types

Credit: Or Graur

https://www.physics.rutgers.edu/analyze/wiki/Ia_supernovae.html

\mu_0 = m_0 - M_0 = 5 \log{D} + 25\\

... but... not all SN Ia are equal after all

 

 

The fact that supernovae were not all the same was discovered early.. but its still one of our main issues with SN cosmology 45 years later!

Barbon, 1978

SN Ia come from the detonation of CO White Dwarfs.

Ignition of carbon occurs at or near the Chandrasekhar limit

SN Ia come from the detonation of CO White Dwarfs.

Ignition of carbon occurs at or near the Chandrasekhar limit

SN Ia come from the detonation of CO White Dwarfs.

Ignition of carbon occurs at or near the Chandrasekhar limit

\mu_0 = m_0 - M_0 = 5 \log{D} + 25\\

... but... not all SN Ia are equal after all

 

Faint: SN 1991bg-like

Slow declining: SN 1991T-like

Rapid declining: SN2000cx-like (SN Iax)

Wikipedia Commons and Discover Magazine

 

 

What is the donor star in a SN Ia? 

does it have an impact on the lightcurve evolution?

Double or single degenerate?

 

Bianco+ 2011

Double or single degenerate?

 

Kasen 2010: the progenitor does life a fingerprint in the lightcurve

2011fe: definitely double degenerate (Nugent+12)

PTF11kx: definitely single degenerate (Dildey+12)

 

<20% SD progenitors (Bianco+2011)

disfavors SD progenitors (Hayden+2010)

SN spectral classification

Alex Galgliano , University of Illinois

How accurate is the spectal classification?

 

A specialized classifier to identify SN Ia from other SNe (and transients) can be very efficient

How accurate is the spectal classification?

 

Willow Fox Fortino, UD

looking for the resolution limit for classification

Class imbalance in the training sets is a problem that limits performance!

 

The SNID dataset that is used to train DASH

Willow Fox Fortino, UD

looking for the resolution limit for classification

II. Correcting for Host Systematics

II. Correcting for Host Systematics

  • photometry
  • host property dependency
  • distance determination (photo-z)

These is evidence of an explicit dependence of the SN luminosity on host galaxy

Specific reddening law can contaminate LC fitting

 

a mitigation is analysis in the NIR or joint analysis in NIR + optical

Integrating the information from the galaxy is critical to train new models correctly

low-z: cepheid stars ladder

First noted by Harietta Leavitt in 1912

{\displaystyle M_{\mathrm {v} }=(-2.43\pm 0.12)\left(\log _{10}P-1\right)-(4.05\pm 0.02)\,}

The period of variation is proportional to the luminosity with a different proportionality at different wavelengths

{\displaystyle M_{\mathrm {?} }=a\left(\log _{10}P-1\right)+b\,}

Harietta Leavitt in 1912

1566 Cepheids in the 19 SN Ia

drift scanning HST to measure parallaxes 

precision of 20–40 μas

In the HST Key Project, the ladder was tied to our nearest galaxy, the Large Magellanic Cloud (LMC). SH0ES reduced this uncertainty by tying their calibration to Cepheids with parallaxes in the Milky Way (MW), Cepheids in the LMC, and Cepheids in  host galaxy NGC4258 ( Type 2 Seyfert, and a Type II supernova).

 

~1000 SNe

Beaton et al. 2016

~1000 SNe

Beaton et al. 2016

~1000 SNe

If its a calibration problem maybe a better method and a better telescope will help... here comes the Just Wonderful Space Telescope (JWST)

higher-z: Cosmology with other SN types

The standard candle method for SNII is an empirical method based on the observed correlation between SN II luminosity and photospheric expansion velocity during the plateau phase - with color corrections

2020 MNRAS

higher-Z :

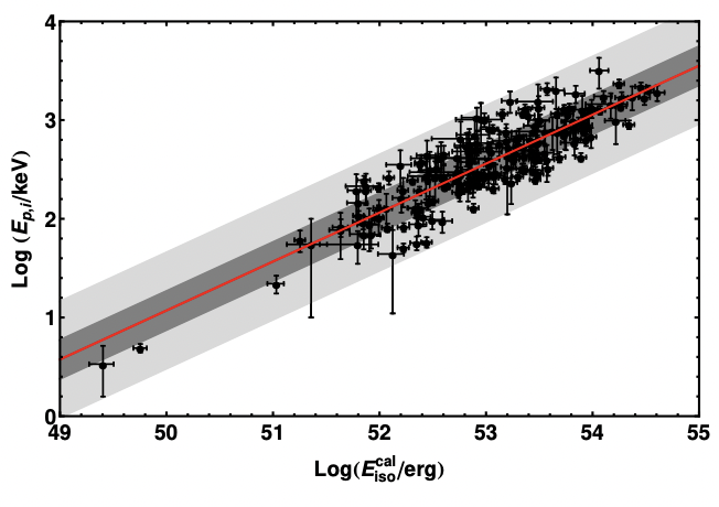
GRB

High accuracy classification can be obtained from photometry for SN Ia vs not Ia, but only if redshift is known

 

 

Highly energetic explosions out to redshift~9

  • short gamma ray emission
  • long(er) afterglow
  • long GRBs: related to SNe (SN Ic-BL)
  • short GRBs: related to NS mergers

GRB have been detected to z~9!

Amati+ 2019

Cardone+ 2009

modeling the Sp requires cosmological model assumption: known as the "circularity problem"

Kilonovae

LIGO Virgo Arrays

 meters - this is 1000 times smaller than the diameter of a proton

10^{-18}

Electromagnetic emission: Kilonova

MMA in the next decade

federica bianco - fbianco@udel.edu

@fedhere​

LIGO/VIRGO area of localization ~100deg square

 Ursa Minor contains 255.86 square degrees

S190425z 18% of the sky localization

federica bianco - fbianco@udel.edu

@fedhere​

 AT 2017gfo (SSS17a)

optical counterpart we have identified near NGC 4993 is associated with GW170817

Soares-Santos+ 2017

(but also Abbott+2017, Drout+2017...... )

Evidence that mergers of NS are significant sources of r-process elements heavier than iron, including gold and platinum, which was previously attributed exclusively to supernova explosions

MMA

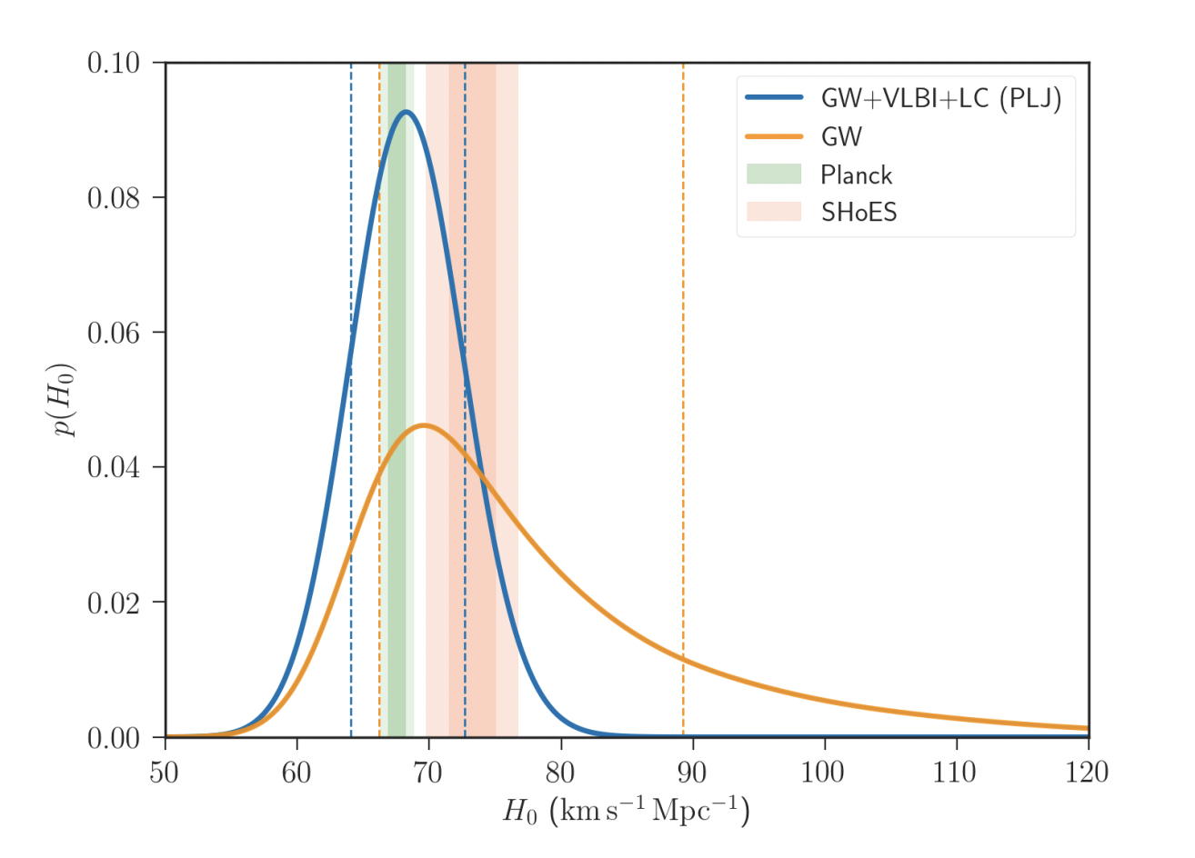
The source distance DL is inferred directly from the GW signal while its redshift z is obtained from an electromagnetic (EM) counterpart.

Μerger inclination is the main source of uncertainty

Text

~1000 SNe

Std Sirens+EM

Di Valentino [2011.00246]

{

{

SN

CMB

SN

discrepancy ~5sigma

 

need a 20% mag correction on SNe to reconcile

Di Valentino [2011.00246]

thank you!

 

University of Delaware

Department of Physics and Astronomy

 

Biden School of Public Policy and Administration

Data  Science Institute

@fedhere

federica bianco

fbianco@udel.edu

 

Rubin Observatory Construction Project

LSST Transient and Variable Stars Science Collaboration

UD 2023 Physics 838 SN Cosmology

By federica bianco

UD 2023 Physics 838 SN Cosmology

  • 1,169