Artificial neural network
Workings of a network
Cells
A network consists of cells that have either positive or negative connections to other cells

Calculus
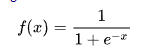
Sigmoid function
This is a function that returns values between 0 and 1, and gives around 0.5 when given a zero:

- Logistic function
- hyperbolic tangent
- arctangent function
- Gudermannian function
- Error function
- Generalised logistic function
- Smoothstep function
Calculus
Sigmoid function - Logistic function
function sigmoid(input) {
return 1
/ (1 + Math.pow(Math.E, -input));
}
Calculus
Communications between the cells
// Calculate
const outputCell1 = sigmoid(
weigthsCell1[0]
+ weigthsCell1[1] * inputs[0]
+ weigthsCell1[2] * inputs[1]
+ weigthsCell1[3] * inputs[2]
);
const outputCell2 = sigmoid(
weigthsCell2[0]
+ weigthsCell2[1] * inputs[0]
+ weigthsCell2[2] * inputs[1]
+ weigthsCell2[3] * inputs[2]
);const inputs = [
1,
0,
1,
];
const weigthsCell1 = [
3,
5,
-2,
-10,
];
const weigthsCell2 = [
-7,
-1,
-4,
-14,
];Result
Training your network
Training
Training is based on evolution

Every generation either gets better, or stays the same
Training
Evolution can happen in different ways
Depending on the task at hand, the "supervisor" chooses a way of "reproduction"


1 Survivor per generation
The half of the population survives
One child allowed

Training
Training itself too
Supervised training
- All tasks are known beforehand
- The task is clear
Semi-supervised training
- Some problems are known, others not
- Can feed into next layers
Unsupervised training
- No input is known
- When the input data is large
Depending on the task at hand, the "supervisor" chooses a way of "training"
Training
Training itself too
Supervised training
Semi-supervised training
Unsupervised training

Cons and pros for Neural networks
Pros:
- Can find new solutions
- Can learn from unique input
Cons:
- Slowness
- Overfitting
- Takes time to train initially
Summary
Neural network have the following properties:
- Topology
- Way of "evolving"
- Way of "training"
Questions?



Tool for neural networks:
Artificial Neural Network
By Fernando van Loenhout
Artificial Neural Network
- 105

