Dante
Sommaire
- Generateur
- Parcours en largeur
- Parcours en profondeur
- A Star + optimisations
- Feedbacks
- Demonstrations
Recursive backtracking
- Assure la génération d'un labyrinthe parfait
- Utilise la logique d'un parcours en profondeur
- Génération recursive transformée en itérative
- Génération de labyrinthe parfait via une suppression de mur aléatoire
Breadth first search
-
Trouve assurément le chemin le plus court
-
Utilisation d'une queue
- Parcours itératif

Depth First Search
-
Trouve assurément le chemin le plus court
-
Utilisation d'une stack (inverse qu'une queue)
- Parcours itératif

A Star
-
Trouve assurément le chemin le plus court (avec une heuristic admissible)
-
Parcours en largeur optimisé
- Utilisation d'une binary heap
- Parcours itératif

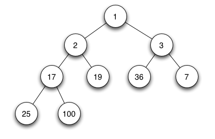
Min Binary heap
-
Structure de donnée permettant un tri optimisée de valeur
- Fonctionne grâce à un arbre binaire
- Réduit la compléxité de temps à O(n), soit une recherche linéaire

Feedbacks
-
Nouvelles connaissances sur la génération de labyrinthe
- Travail de reflexion sur comment "dériver" une approche existance
- Travail sur la transformation recursif-itératif
Demonstration
Dante
By Flavian Desverne
Dante
- 297